基于梯度视角的城市建筑形态对地表温度的影响 |
| 谭磊琪,周亮,李丽,袁博,胡凤宁 |
|
Influence of Urban Buildings Forms on Land Surface Temperature: From a Gradient Perspective |
| Leiqi Tan,Liang Zhou,Li Li,Bo Yuan,Fengning Hu |
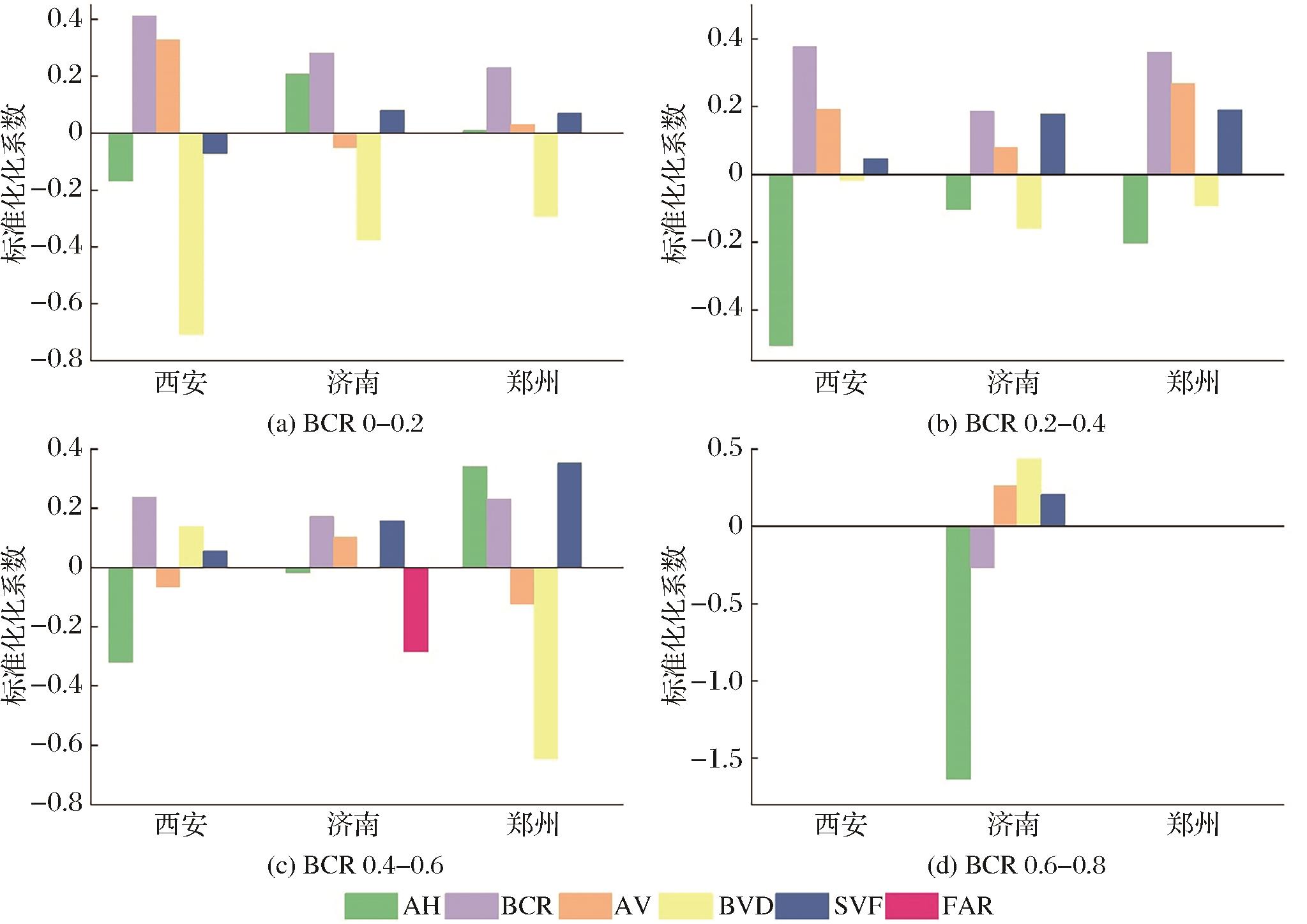
| 图4 BCR梯度等级下景观指标与地表温度关系 |
| Fig.4 Relationship between landscape index and land surface temperature under BCR gradient grade |
|