基于Sentinel-1/2影像的水稻种植面积提取方法研究 |
| 乔树亭,叶回春,黄文江,黄珊瑜,刘荣豪,郭安廷,钱彬祥 |
|
Study on Extraction Method of Rice Planting Area based on Sentinel-1/2 Image: A Case Study of Sanjiang Plain |
| Shuting QIAO,Huichun YE,Wenjiang HUANG,Shanyu HUANG,Ronghao LIU,Anting GUO,Binxiang QIAN |
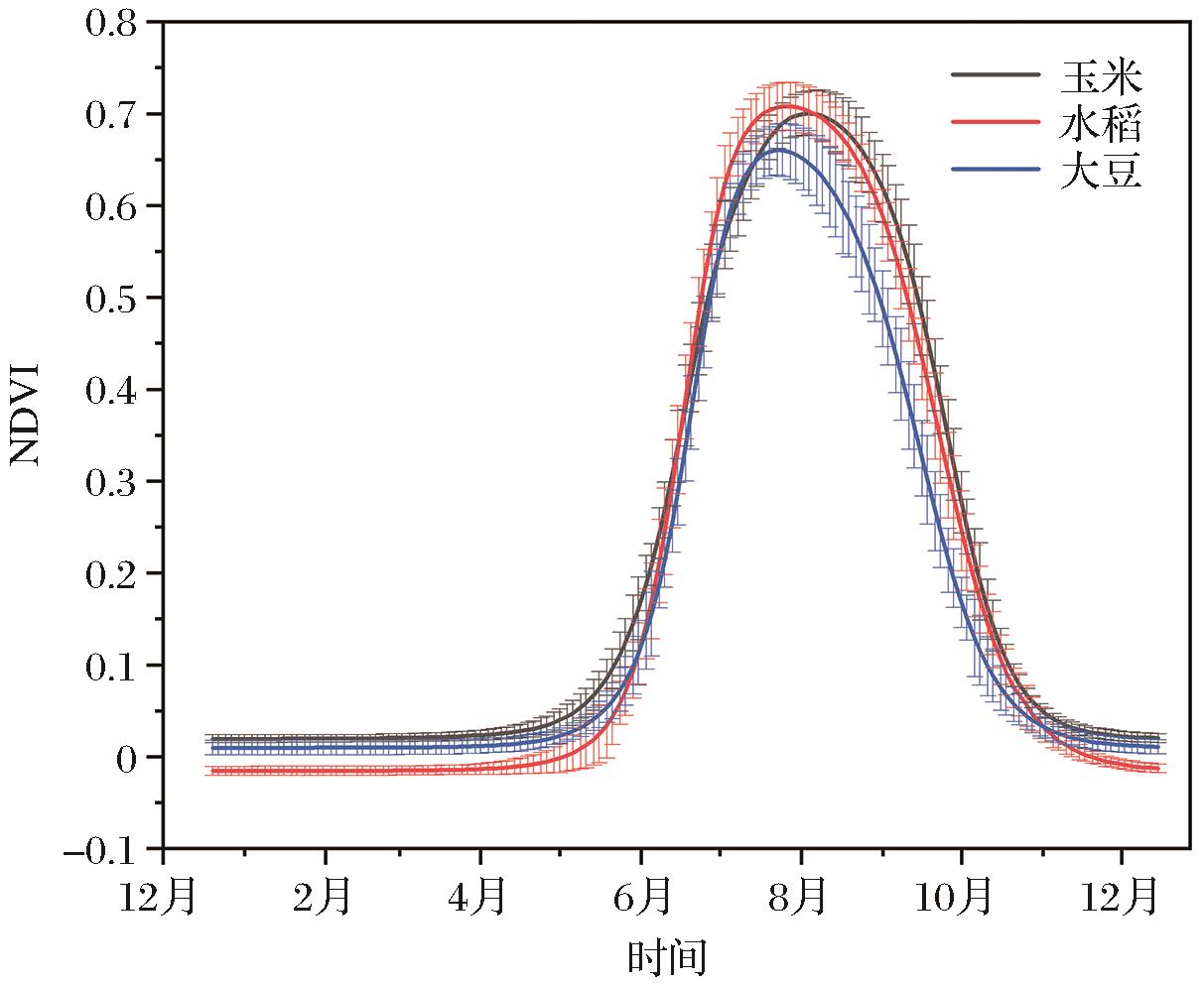
| 图4 时序NDVI曲线 (已经过去云筛选及SG滤波处理,标注为显著置信区间) |
| Fig.4 Temporal NDVI curve |
|