基于温度日内循环模型的全球主要城市地表热岛面积时空格局遥感研究 |
| 张先冉,占文凤,缪诗祺,杜惠琳,王晨光,江斯达 |
|
Spatiotemporal Patterns of Surface Urban Heat Island Area Across Global Major Cities based on Diurnal Temperature Cycle Model |
| Xianran ZHANG,Wenfeng ZHAN,Shiqi MIAO,Huilin DU,Chenguang WANG,Sida JIANG |
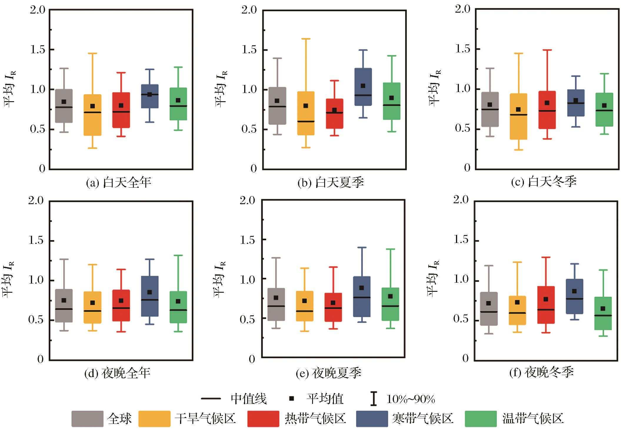
| 图4 全球及不同气候区城市2000~2019年全年、夏季和冬季日夜平均IR |
| Fig.4 Comparison of daytime and nighttime IR of global major cities in different climate zones for annual, summer, and winter case during 2000~2019 |
|