浙江滨海湿地互花米草生物量遥感估算模型研究
杨晓芜 , 1 , 2 , 满卫东 1 , 2 , 3 , 4 , 刘明月 , 1 , 2 , 3 , 4 , 张永彬 1 , 郑浩 1 , 2 , 宋敬茹 1 , 2 , 康志强 1
1.华北理工大学 矿业工程学院,河北 唐山 063210
2.唐山市资源与环境遥感重点实验室,河北 唐山 063210
3.河北省矿区生态修复产业技术研究院,河北 唐山 063210
4.河北省矿业开发与安全技术重点实验室,河北 唐山 063210
Estimation Model of Spartina alterniflora Aboveground Biomass by Remote Sensing in Zhejiang Coastal Wetland
YANG Xiaowu , 1 , 2 , MAN Weidong 1 , 2 , 3 , 4 , LIU Mingyue , 1 , 2 , 3 , 4 , ZHANG Yongbin 1 , ZHENG Hao 1 , 2 , SONG Jingru 1 , 2 , KANG Zhiqiang 1
1.College of Mining Engineering,North China University of Science and Technology,Tangshan 063210,China
2.Tangshan Key Laboratory of Resources and Environmental Remote Sensing,Tangshan 063210,China
3.Hebei Industrial Technology Institute of Mine Ecological Remediation,Tangshan 063210,China
4.Hebei Key Laboratory of Mining Development and Security Technology,Tangshan 063210,China
通讯作者: 刘明月(1988-),女,吉林长春人,副教授,主要从事入侵植被遥感识别机理、植被生态参数遥感反演等研究。E⁃mail: liumy917@ncst.edu.cn
收稿日期: 2022-06-24
修回日期: 2023-10-12
基金资助:
国家自然科学基金青年基金项目 . 41901375 . 42101393 河北省自然科学基金项目 . D2019209322 . D2022209005 河北省高等学校科学技术研究项目青年拔尖人才项目 . BJ2020058 河北省引进留学人员资助项目 . C20200103 吉林省科技发展计划项目 . 20210203028SF
Received: 2022-06-24
Revised: 2023-10-12
作者简介 About authors
杨晓芜(1997-),女,山西运城人,硕士研究生,主要从事滨海湿地植被功能性状参数反演研究E⁃mail:y1169160535@163.com
, E-mail:y1169160535@163.com
摘要
互花米草地上生物量(Aboveground Biomass, AGB)估算可为滨海湿地生态系统稳定性评价与区域碳汇监测评估提供重要依据。以浙江滨海湿地为研究区,利用48个实测互花米草地上生物量数据,基于Landsat-8 OLI影像提取反映植被地上生物量信息的植被指数和波段特征,采用单变量回归、多元线性回归、多尺度地理加权回归和偏最小二乘回归方法分别构建互花米草地上生物量估测模型,并通过最优模型反演互花米草地上生物量。结果表明:①互花米草地上生物量与所选取的29个遥感变量呈显著相关,相关系数均介于0.5~0.8(P<0.01);②偏最小二乘回归构建的模型为浙江滨海湿地互花米草AGB反演最优模型(R 2 =0.767),均方根误差和平均绝对误差分别为130.576 g/m2 和100.801 g/m2 ;③浙江滨海湿地互花米草平均地上生物量为6 607.01 g/m2 ,AGB总量为1.36×103 t;浙江滨海地区互花米草AGB总体呈南高北低的分布格局。本研究可为滨海湿地资源合理开发利用、碳汇监测评估和生态系统功能评价提供科学支撑。
关键词:
互花米草
;
地上生物量
;
植被指数
;
定量反演
;
偏最小二乘回归
Abstract
Estimation of Aboveground Biomass (AGB) in Spartina alterniflora (S.alterniflora ) can provide an important basis for ecosystem stability evaluation and regional carbon sink assessment in coastal wetlands. Using typical coastal wetlands in Zhejiang, China as an example, this study used 48 measured aboveground biomass data of S.alterniflora to extract vegetation index and band characteristics reflecting aboveground biomass information of vegetation based on Landsat8 OLI images, constructed a Univariate Regression (UR) model, a Multiple Linear Regression(MLR) model, a multi-scale geographically weighted regression model (MGWR), and a Partial Least Squares Regression (PLSR) model to estimate the AGB of S.alterniflora from actual field measurement data. The results showed that: (1) The AGB of S.alterniflora was significantly correlated with the 29 selected remote sensing variables, and the correlation coefficients were all between 0.5 and 0.8(P<0.01). (2) The model constructed by PLSR method was the optimal model of S.alterniflora AGB inversion in the Zhejiang coastal wetland (R 2 =0.767; RMSE=130.576 g/m2 ; MAE=100.801 g/m2 ). (3) The average AGB of S.alterniflora in Zhejiang coastal wetland was 6 607.01 g/m2 , and the total AGB was 1.36×103 t. The distribution pattern of S.alterniflora AGB in the coastal area of Zhejiang Province was high in the south and low in the north. This study could provide the scientific basis for the rational development and utilization of coastal wetland resources, carbon sink monitoring, and ecosystem function evaluation.
Keywords:
Spartina alterniflora
;
Aboveground Biomass
;
Vegetation index
;
Quantitative inversion
;
Partial Least Squares Regression
本文引用格式
杨晓芜, 满卫东, 刘明月, 张永彬, 郑浩, 宋敬茹, 康志强. 浙江滨海湿地互花米草生物量遥感估算模型研究 . 遥感技术与应用 [J], 2023, 38(6): 1445-1454 doi:10.11873/j.issn.1004-0323.2023.6.1445
YANG Xiaowu, MAN Weidong, LIU Mingyue, ZHANG Yongbin, ZHENG Hao, SONG Jingru, KANG Zhiqiang. Estimation Model of Spartina alterniflora Aboveground Biomass by Remote Sensing in Zhejiang Coastal Wetland . Remote Sensing Technology and Application [J], 2023, 38(6): 1445-1454 doi:10.11873/j.issn.1004-0323.2023.6.1445
1 引 言
互花米草(Spartina alterniflora )作为外来入侵物种,于1979年12月从北美洲大西洋海岸引入我国,主要生长于潮间带、河口等区域,因具有极强的耐盐性与繁殖扩散能力,已大规模爆发式扩散,现分布于我国北起河北南堡,南至广东雷州半岛的大部分滩涂区域[1 ] 。互花米草的入侵一方面加快了滨海湿地生态系系统碳沉积速度,增强湿地土壤固碳能力;另一方面其恶性扩张显著改变原生生态系统群落结构及功能,降低植被群落丰富度和多样性,打破原有的生态系统平衡,造成严重的生态及经济后果[2 -4 ] 。滨海湿地作为蓝碳生态系统的主体,长期持续的固碳速率和能力,在区域及全球碳循环过程中具有重要影响[5 ] 。互花米草高光合效率、生产力与极强的繁殖能力能够促进植物有机碳的积累;密集植株加快沉积速率促进潮滩淤积,提高盐沼湿地土壤碳的封存能力[6 ] ,改变滨海湿地碳氮库、物质循环以及微地形等环境条件,进而影响滨海湿地碳汇机制[7 ] ,对滨海湿地物种空间分布、群落结构、景观演变和生态系统碳收支平衡产生重大影响[8 ] 。植被地上生物量可反映植物初级生产力的高低、生态系统的优劣程度以及生态系统固碳能力的强弱,可作为沼泽湿地植被碳储量估算的重要参考[9 ] ,目前已用于湿地生态系统生产力、碳储量、群落动态特征、结构优化及功能评价等方面[10 -12 ] 。互花米草生物量估算研究可为滨海湿地蓝碳形成、潜在变化以及拓展蓝碳增汇途径等提供理论支持。
传统植被地上生物量测量方法一般以齐地收割地上部分获取实测数据为主,工作量大且费时费力,对植被破坏程度大,且难以推广到时空尺度上。湿地生态系统内部结构复杂,采样操作难度较大,遥感技术具有快速、准确、对植被破坏性小并能进行宏观监测的优势,已成为湿地植被地上生物量估测的主要方法和研究手段。遥感影像的光谱信息对植被生长变化趋势和生物量有重要指示作用,基于植被光谱信息并结合多种植被指数,利用回归方法构建湿地生物量反演模型最为普遍,而近年来BP神经网络、随机森林等机器学习算法也有一定的进展[13 -15 ] 。Mutanga等[16 ] 利用随机森林结合WorldView-2 影像估算高密度湿地植被生物量,发现需要一种有效手段识别最有用的植被指数来改进AGB预测;田艳林等[17 ] 利用植被指数EVI建立松嫩平原西部芦苇AGB最优模型;秦立厚等[18 ] 对单木生物量估算研究表明可通过增加建模样本来减小模型参数的不确定性;韩爽等[19 ] 运用BP神经网络反演盐城湿地植被地上生物量,反演精度达到74%;韩颖等[20 ] 基于TM影像构建多种洪河湿地地上生物量遥感反演模型,发现多元回归模型拟合精度最优,并分析生物量空间分布与DEM的关系,但回归模型结构单一易出现伪回归等问题。相关研究为开展湿地植被生物量的大尺度估算奠定了基础,但多种植被指数间存在高度相关关系,导致回归系数与实际不符,易令生物量估算模型失真,为此需要消除多重共线性问题,实现模型精确估计[21 ] 。当前已有人在区域尺度上做了滨海湿地植被生物量的相关研究,但对其生物量反演及格局分析尚不明确。互花米草作为入侵植物对于滨海湿地碳汇及生态系统功能具有重大影响,但对其生物量反演研究仍相对较少。
因此,本文选取浙江省典型互花米草分布区,基于Landsat-8 OLI影像与同期实测植被地上生物量数据,计算表征植被地上生物量特征的遥感变量,采用单变量回归(UR)、多元线性回归(MLR)、多尺度地理加权回归(MGWR)和偏最小二乘回归(PLSR)等方法,构建研究区互花米草地上生物量估算模型,并对研究区植被地上生物量进行空间反演与分析,为科学评价滨海湿地生态系统稳定性、生态碳汇监测与价值评估提供理论参考和数据支持。
2 研究区与数据来源
2.1 研究区概况
研究区为我国浙江东南沿海地区(27°55′~30°51′ N,120°54′~122°10′E),地处长江三角洲南侧,属亚热带季风气候,季风显著,年平均气温15~18℃,年平均雨量在1 200~2 000 mm,降水量充沛,雨热同期,年平均日照时数1 710~2 100 h[22 ] 。该地海岸受多重潮流影响,潮汐类型复杂多变,加之长江大量泥沙入海和潮流输沙,经多年演变,易形成深水港汊和淤泥舌状滩地,构成独特的港湾河口淤泥质地貌[23 ] 。天然独特的地理优势孕育丰富的滨海湿地类型,自然湿地和人工湿地总面积达到7 818.74 km2[22 ] ,沉积物丰富的港湾河口地貌为盐沼植物生长提供了有效的物质基础,典型盐沼植被为互花米草、芦苇、海三棱藨草及红树林等。
图1
图1
研究区位置及采样点示意图
审图号:GS(2020)4619
Fig.1
Schematic diagram of location and sampling points in the study area
2.2 数据来源与处理
2.2.1 野外调查和采样
实验于2016年7月下旬及8月初进行互花米草野外调查和生物量采样。在浙江东部沿海依据全面性、代表性和典型性的样地选取原则,在典型互花米草群落中随机设置均质样地,于内部布设3个0.5 m×0.5 m的子样方,统计各子样方内互花米草株数,并随机选取5株植株齐地收割地上部分,置于保温箱中带回实验室;设置烘箱为105℃温度下杀青,在80℃恒温烘干24 h至恒重,取出冷却20 min后用精度为0.01 g的天平称其干重[24 ] ;求取3个子样方生物量均值作为该子样方互花米草地上生物量,最后将其换算为单位面积生物量,共采集有效生物量样本48个。
2.2.2 遥感影像获取与处理
选取研究区内晴空条件下与生物量采样时间同步的Landsat-8 OLI卫星影像,空间分辨率为30 m,成像时间为2016年7月20日,云量为1.02%,对影像进行辐射定标、FLAASH大气校正,将遥感影像各波段DN值转化为地表反射率。根据地面样本点的采集时间和地理坐标信息,提取各样方点对应像元的波段及其衍生变量值,构建与样点实测AGB时空匹配的遥感变量库。
基于Landsat-8 OLI遥感影像进行互花米草分布提取,采用面向对象方法对影像进行多尺度分割,根据光谱、纹理等特征建立分类规则集,采用支持向量机分类方法进行土地覆被类型解译,目视修正后提取互花米草空间分布信息,经野外调查数据验证互花米草总体分类精度为90.96%。
2.3 建模参数选取
植被指数(VIs)是对植被生化物理参数的有效度量,广泛应用于植被地上生物量遥感估算[25 ] 。参考生物量遥感反演相关文献并结合研究区特点,本研究选取波段倒数、波段比值、植被指数与缨帽变换分量构建遥感变量库(表1 ),并对变量作z-score标准化处理。最终对生物量与各遥感变量进行相关分析,共选取与互花米草地上生物量存在极显著相关关系(P<0.01)的变量作为建模参数。
σ = 1 N ∑ i = 1 N x i - μ 2 (1)
Z i = x i - μ σ (2)
其中:N 为总样本数;x i 为第i 个样本的值;σ 为标准差;μ 为平均值;Z i 值代表着原始分数和母体平均值之间的距离,是以标准差为单位计算。
3 研究方法
3.1 生物量估算模型构建
从遥感变量库和样点实测AGB数据所组成的样本序列中,随机选取36个样点数据作为训练样本,分别建立单变量回归、多元线性回归、多尺度地理加权回归以及偏最小二乘回归模型。其中,单变量回归分别选取二次、三次多项式、S型曲线和指数函数进行建模。MLR相对于单变量能更有效地进行预测或估计。MGWR可用于探索因变量与解释变量之间的空间关系,是一种具有空间参数的回归模型(公式(1))。PLSR模型集成了多元线性回归、主成分分析和典型相关分析的优点,一定程度上可以避免数据非正态分布、因子结构不确定等潜在问题[27 ] 。
y i = β 0 u i , v i + ∑ k = 1 p β k u i , v i x i k + ε i , i = 1,2 , ⋯ , n (3)
其中:y i 为响应变量AGB;u i , v i 是第i 个样本点的空间坐标;β k u i , v i 是第i 个样本点第k 个回归参数;ε i 为误差项。
3.2 精度评价
精度评价指标可用于评定模型的优劣程度,选取决定系数(R 2 )、均方根误差(RMSE)、平均绝对误差(MAE)3个指标来进行模型精度验证。R 2 值越接近1,表明模型拟合程度越好,RMSE值越小、MAE值越小,表明估测精度越高,其计算公式如下:
R 2 = 1 - ∑ i = 1 n y i - y ^ i 2 ∑ i = 1 n y i - y ¯ 2 (4)
R M S E = 1 n ∑ i = 1 n y i - y ^ i 2 (5)
M A E = 1 n ∑ i = 1 n y i - y ^ i (6)
其中:y i 为地上生物量实测值;y ^ i 为地上生物量预测值;y ¯ 为地上实测生物量的平均值;n 为样本数。
4 结果及分析
4.1 遥感变量与互花米草AGB敏感性分析
计算遥感变量库中所有变量与互花米草AGB的Pearson相关系数,将各遥感变量相关系数绝对值按从大到小顺序排列,选取|r|>0.5遥感变量,最终共选取遥感变量29个(表2 )。可知部分植被指数、波段比值与植被指数之间的相关性极高,存在多重共线性。从Landsat 8影像中提取的遥感变量中,波段倒数与波段比值与互花米草AGB存在较高的相关关系,且整体相关水平高于植被指数。其中1 / B 1 与互花米草AGB相关性最高(P<0.01);植被指数RVI、PVI与AGB的相关系数达到0.73以上,最终选取8个植被指数和21个波段组合因子共29个变量参与模型构建。
图2
图2
遥感变量相关系数矩阵
Fig. 2
Correlation coefficient matrix of remote sensing parameters
4.2 互花米草AGB估测模型构建
利用互花米草AGB训练样本与筛选的29个遥感变量,将植被指数(VIs)、波段倒数以及比值(Bands)分别作为自变量,建立线性、对数、指数、S型、多项式等单变量估算模型,利用建模集R 2 >0.5进行变量排序,筛选获得9个单变量估算模型,各变量所构建的最优互花米草AGB估算模型如表3 所示,并计算各模型的评价指标,建立的所有模型均通过显著性检验(表4 )。结果表明:单变量模型中Bands建模和验证效果优于VIs构建模型,以波段值1/B1 为变量估算互花米草AGB的效果最好,建模集和验证集的R 2 分别为0.615和0.582;RMSE分别为131.285和218.655;MAE分别为118.069和198.190。
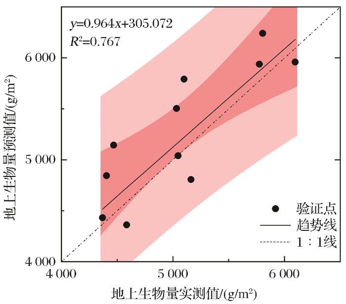
利用植被指数(VIs)与波段组合因子(Bands),与互花米草AGB实测训练样本建立多元互花米草地上生物量估测模型。对表2 中的遥感变量进行引入和剔除检验,筛选最优建模参数,利用MSR、PLSR、MGWR方法分别构建互花米草AGB估算模型(表5 ),并验证各模型精度(表6 )。综合对比表4 与表6 可以发现:以VIs+Bands为组合参量所构建的AGB估算模型精度优于基于VIs或Bands所构建的单变量模型,建模集和验证集的R 2 比仅以VIs、Bands为参量的模型高,而RMSE和MAE值较低。而基于VIs+Bands建模的3种建模方法中(表6 ),PLSR模型精度最优,建模集和验证集的R 2 分别为0.649和0.767,RMSE分别为112.190和130.576,MAE分别为110.292和100.801;MGWR模型次之,MSR模型最差。通过综合比较,选择由NDVI、PVI以及Bands等9个建模参数构成的偏最小二乘模型作为研究区互花米草地上生物量的最优估测模型,进一步对实测生物量与估测生物量构成的散点图进行分析,二者具有较高的拟合度(图3 )。
图3
图3
互花米草地上生物量最优模型拟合图
Fig.3
Fitting diagram of AGB optimization model validation on S.alterniflora
4.3 互花米草AGB遥感估算及空间格局
浙江滨海湿地互花米草主要分布于港口和海湾地区(图4 ),总面积达14 337.68 hm2 。其中三门湾滩涂分布广泛,互花米草面积最大,达4 907.9 hm2 ;乐清湾次之,为2 605.73 hm2 ;象山港、杭州湾的互花米草分布面积依次减少,分别为1 479.79 hm2 和1 288.05 hm2 ,象山港内互花米草分布范围较大但位置分散,杭州湾内互花米草呈条带集中分布于三北浅滩沿岸;台州湾内主要沿河道两侧分布,面积为454.65 hm2 。
图4
图4
浙江滨海湿地互花米草分布图
Fig.4
Distribution of S.alterniflora in Zhejiang Coastal Wetland
采用PLSR最优模型对互花米草AGB进行反演,空间分布格局如图5 。统计表明互花米草总产量为1 362.05 t,平均AGB为6 607.01 g/m2 ,最大值与最小值变幅达49.86%。互花米草典型分区中平均AGB差异较小,除象山港、三门湾平均AGB略高于整个区域的平均水平外,其他几个区域的平均AGB均在整个区域的平均值之下。互花米草AGB最大值出现在三门湾,最小值出现在乐清湾,变幅最小的为杭州湾。三门湾互花米草AGB最高为446.18 t,占整个浙江滨海湿地的32.75%;而杭州湾AGB最低,仅为92.02 t。
图5
图5
浙江滨海湿地互花米草AGB空间分布
Fig.5
Spatial distribution of AGB on S.alterniflora in Zhejiang Coastal Wetland
浙江滨海湿地互花米草AGB具有明显的空间异质性(图5 );南部地区AGB总体高于北部港湾地区。其中,三门湾互花米草分布面积最广且AGB总量最高,主要体现在向陆侧互花米草AGB整体较高,以及海岸潮滩地区部分边缘的互花米草AGB较高,潮间带内部区域部分地区AGB较低;杭州湾互花米草面积最小因而AGB总量最低;乐清湾AGB总量较高且平均AGB较高的区域位于潮间带上;象山港AGB总量偏低但平均AGB水平高于浙江沿海平均水平,其中西沪港内互花米草的空间异质性较为明显:向海侧平均AGB明显大于向陆侧;台州湾互花米草面积较少,主要沿椒江河道两侧分布,AGB总量较低,且平均AGB相对较低。
5 讨 论
不同光谱通道所获取的遥感信息与植被的不同生长状态的相关性存在一定程度的差异,不同植被指数对AGB建立模型的精度有所影响[28 ] 。以往研究表明,红边和近红外波段可有效估计植被AGB[29 ] ,根据红边和近红外波段计算的植被指数可以最大限度地减少大气和水吸收以及土壤背景的影响[28 ] 。互花米草的生长环境特殊,构建的植被指数对日照时长、水淹程度响应不同,从而依据植被指数构建的互花米草AGB模型精度会受影响[30 -31 ] 。红边和近红外波段等不同组合形式的植被指数对于估算不同生长阶段的互花米草AGB是切实有效的,并且可用于估计互花米草整个生长季的AGB估算。但是针对不同湿地的特殊环境条件和植物类型特征,反演互花米草AGB的精度往往取决于植被指数是否选取得当,为得到最佳的反演结果需要综合利用各种植被指数[32 ] ,最终优选出的PVI、NDVI等植被指数可较好地提高互花米草AGB模型估算精度。
本研究中多元线性回归模型精度明显优于利用29个变量进行的单变量回归模型,而多尺度地理加权回归引入数据的地理位置,减少空间效应的影响,在多元线性回归的基础上可进一步提升模型精度。利用偏最小二乘回归方法分别以VIs+Bands估算地上生物量的建模集和验证集的R 2 相较于多元线性回归和多尺度地理加权回归较高,而RMSE和MAE较低,表明模型拟合效果较好,稳定性较强,能最大限度地减少变量间的共线性,其模型的建模和验证精度高于其他3种模型。因此,偏最小二乘回归可有效解决多重复共线性问题,用来估计多个响应变量并同时考虑多重共线性变量[33 -34 ] ,有效提取最优变量,是提高互花米草地上生物量估算精度的重要手段。
本研究估算浙江滨海湿地互花米草AGB主要集中在4 500~6 000 g/m2 ,与陆琳莹[22 ] 野外实测和利用回归方法估算结果相近。互花米草AGB空间异质性可能与其所处不同入侵阶段或人为活动干扰强度有关。互花米草最早于1983年在乐清湾内玉环县引种[35 ] ,其互花米草面积分布较广且AGB总量最高。浙江沿海地区气温受纬度影响由南向北递减,降水量平均值呈现由东南向西北递减的空间分布格局,气候差异在一定程度上导致了互花米草AGB在空间上呈南高北低的分布格局;不同地区河口海湾自然条件、泥滩分布状况、入海河网密度、土壤养分差异,以及互花米草自身抗低氧胁迫能力、生命活动规律等受水淹时长和深度不同,均可影响互花米草的长势[1 ,36 -37 ] ;另外,人类活动如围垦开荒、工业废水、道路修建等,在一定程度上也影响互花米草生物量等生长特征,而不同地区人为活动的干扰程度不同亦可引起互花米草长势及AGB的空间差异。
6 结 论
实验以浙江滨海湿地互花米草为研究对象,构建互花米草AGB遥感估算模型并进行反演。主要结论如下:①基于Landsat-8 OLI遥感影像计算的29个遥感变量与互花米草AGB存在较高相关性(P <0.01),选取相关性高的变量(R 2 >0.5)进行模型构建,其中PLSR模型拟合效果最优,表明利用合适的VIs+Bands对互花米草AGB进行遥感反演可以达到较为理想的效果。②互花米草AGB遥感估算和反演的空间分布格局表明,浙江滨海地区互花米草AGB总量为1.36×103 t,互花米草AGB主要集中在4 500~6 000 g/m2 且空间异质性明显,整体呈现南高北低的空间分布格局,局部呈向海侧AGB值大于向陆侧AGB值。高值区主要分布在象山湾、三门湾以及乐清湾内港口与岛屿周围滩涂上;低值区主要分布在杭州湾三北浅滩的养殖池附近以及三门湾河道两侧。实验对浙江滨海湿地互花米草AGB的空间分布特征进行分析,可对浙江滨海湿地资源管理、生态碳汇监测评估和可持续发展提供科学参考。
参考文献
View Option
[1]
MAO D , LIU M , WANG Z , et al . Rapid invasion of Spartina alterniflora in the coastal zone of mainland China: spatiotemporal patterns and human prevention
[J]. Sensors , 2019 , 19 (10 ): 2308 . DOI:10.3390/s19102308
[本文引用: 2]
[3]
YU Caifen , LIU Changan , LIAO Guoxiang , et al . A biomass estimation by regression method for herbaceous plant Spartina alterniflora in coastal wetlands
[J].Journal of Applied Oceanography , 2022 , 41 (1 ):149 -155 .
于彩芬 , 刘长安 , 廖国祥 , 等 .基于回归分析的滨海湿地草本植物生物量估算方法研究——以互花米草为例
[J].应用海洋学学报 ,2022 ,41 (1 ):149 -155 .
[4]
LIU M , LI H , LI L , et al . Monitoring the invasion of Spartina alterniflora using multi-source high-resolution imagery in the Zhangjiang estuary, China
[J]. Remote Sensing , 2017 , 9 (6 ): 539 . DOI:10.3390/rs9060539
[本文引用: 1]
[5]
HAN Guangxuan , WANG Faming , MA Jun ,et al .Blue carbon sink function, formation mechanism and sequestration potential of coastal salt marshes
[J]. Chinese Journal of Plant Ecology , 2022 , 46 (4 ): 373 -382 .
[本文引用: 1]
韩广轩 , 王法明 , 马俊 ,等 . 滨海盐沼湿地蓝色碳汇功能、形成机制及其增汇潜力
[J]. 植物生态学报 , 2022 , 46 (4 ): 373 -382 .
[本文引用: 1]
[6]
Mingzhi LÜ , SHENG Lianxi , ZHANG Lidong ,et al .A review on carbon fluxes for typical wetlands in different climates of China
[J]. Wetland Science , 2013 , 11 (1 ):114 -120 .
[本文引用: 1]
吕铭志 , 盛连喜 , 张立东 , 等 . 中国典型湿地生态系统碳汇功能比较
[J]. 湿地科学 , 2013 , 11 (1 ): 114 -120 .
[本文引用: 1]
[7]
WANG Faming , TANG Jianwu , YE Siyuan , et al .Blue carbon sink function of China coastal wetlands and carbon neutrality strategy
[J]. Bulletin of China Academy of Sciences , 2021 , 36 (3 ): 241 -251 .
[本文引用: 1]
王法明 , 唐剑武 , 叶思源 , 等 . 中国滨海湿地的蓝色碳汇功能及碳中和对策
[J]. 中国科学院院刊 , 2021 , 36 (3 ): 241 -251 .
[本文引用: 1]
[8]
MCKEE K L , PATRICK W H . The relationship of smooth cordgrass (Spartina alterniflora ) to tidal datums: A review
[J]. Estuaries ,1988 ,11 (3 ):143 -151 . DOI:10.2307/1351966
[本文引用: 1]
[9]
ZHANG Ying . The spatial distribution and bioenergy estimation of an invasive plant Spartina alterniflora in China
.[D]. Hangzhou : Zhejiang University ,2010 .章莹. 中国沿海滩涂入侵物种互花米草(Spartina alterniflora)的空间分布及生物质能估测研究[D].杭州:浙江大学 ,2010.
[本文引用: 1]
[10]
LYU X , LI X , GONG J , et al . Remote-sensing inversion method for aboveground biomass of typical steppe in Inner Mongolia,China
[J]. Ecological Indicators ,2021 ,120 :106883 . DOI: 10.1016/j.ecolind.2020.106883
[本文引用: 1]
[11]
AHMAD A , GILANI H , AHMAD S R . Forest aboveground biomass estimation and mapping through high-resolution optical satellite imagery—A literature review
[J]. Forests , 2021 , 12 (7 ): 914 . DOI: 10.3390/f12070914
[12]
HAN M , PAN B , LIU Y B , et al . Wetland biomass inversion and space differentiation: A case study of the Yellow River Delta nature reserve
[J]. PloS one ,2019 ,14 (2 ):e0210774 . DOI: 10.1371/journal.pone.0210774
[本文引用: 1]
[13]
ZHAO Tiange , Ruihong YÜ , ZHANG Zhilei , et al .Estimation of wetland vegetation aboveground biomass based on remote sensing data: A review
[J].Chinese Journal of Ecology , 2016 , 35 (7 ):1936 -1946 .
[本文引用: 1]
赵天舸 , 于瑞宏 , 张志磊 , 等 .湿地植被地上生物量遥感估算方法研究进展
[J].生态学杂志 , 2016 , 35 (7 ): 1936 -1946 .
[本文引用: 1]
[14]
CHEN Zhe , WANG Hao , WANG Jinzhou , et al .Estimation on seasonal dynamics of alpine grassland aboveground biomass using phenology camera-derived NDVI
[J].Chinese Journal of Plant Ecology , 2021 , 45 (5 ):487 -495 .
陈哲 , 汪浩 , 王金洲 , 等 .基于物候相机归一化植被指数估算高寒草地植物地上生物量的季节动态
[J].植物生态学报 ,2021 ,45 (5 ):487 -495 .
[15]
JIANG Fugen , SUN Hua , LI Chengjie , et al .Retrieving the forest aboveground biomass by combining the red edge bands of Sentinel-2 and GF-6
[J].Acta Ecologica Sinica , 2021 , 41 (20 ) : 8222 -8236 .
[本文引用: 1]
蒋馥根 , 孙华 , 李成杰 , 等 .联合GF-6和Sentinel-2红边波段的森林地上生物量反演
[J].生态学报 , 2021 , 41 (20 ): 8222 -8236 .
[本文引用: 1]
[16]
SCHLUND M , SCIPAL K , DAVIDSON M W J . Forest classification and impact of biomass resolution on forest area and aboveground biomass estimation
[J]. International Journal of Applied Earth Observation and Geoinformation , 2017 , 56 : 65 -76 . DOI: 10.1016/j.jag.2016.12.001
[本文引用: 1]
[17]
TIAN Yanlin , LIU Xianzhao , MAO Dehua ,et al .Remote sen-sing estimation of the aboveground biomass of reed wetland in the Western Songnen Plain, China, based on MODIS data
[J].Acta Ecologica Sinica , 2016 , 36 (24 ):8071 -8080 .
[本文引用: 1]
田艳林 , 刘贤赵 , 毛德华 , 等 .基于MODIS数据的松嫩平原西部芦苇湿地地上生物量遥感估算
[J].生态学报 , 2016 , 36 (24 ): 8071 -8080 .
[本文引用: 1]
[18]
QIN Lihou , ZHANG Maozhen , ZHONG Shihong , et al .Model uncertainty in forest biomass estimation
[J].Acta Ecologica Sinica , 2017 , 37 (23 ):7912 -7919 .
[本文引用: 1]
秦立厚 , 张茂震 , 钟世红 , 等 .森林生物量估算中模型不确定性分析
[J].生态学报 , 2017 , 37 (23 ): 7912 -7919 .
[本文引用: 1]
[19]
HAN Shuang , ZHEN Yan , TAN Qingmei , et al .Remote sensing inversion of aboveground biomass in Yancheng coastal wetlands
[J].Forest Resources Management , 2018 (4 ):105 -111 .
[本文引用: 1]
韩爽 , 甄艳 , 谭清梅 , 等 .盐城海滨湿地植被地上生物量遥感反演研究
[J].林业资源管理 , 2018 (4 ): 105 -111 .
[本文引用: 1]
[20]
HAN Ying , PEI Liang , DU Jia , et al .Remote Sensing inversion of aboveground biomass over the Honghe wetland
[J].Remote Sensing Technology and Application ,2014 ,29 (2 ):224 -231 .
[本文引用: 1]
韩颖 , 裴亮 , 杜嘉 , 等 .洪河湿地植被地上生物量遥感反演研究
[J].遥感技术与应用 , 2014 , 29 (2 ):224 -231 .
[本文引用: 1]
[21]
QIAN Ying , FANG Xiunan .Multiple linear regression model and its application
[J].China Science and Technology Information , 2022 (4 ):73 -74 .
[本文引用: 1]
钱莹 , 方秀男 .多元线性回归模型及实例应用
[J].中国科技信息 , 2022 (4 ):73 -74 .
[本文引用: 1]
[22]
LU Linying . Spatial distribution and influencing factors of Spartina alterniflora biomass in coastal wetlands of Zhejiang Province
[D]. Beijing :Chinese Academy of Forestry Sciences .2018 .
[本文引用: 3]
陆琳莹 . 浙江滨海湿地互花米草生物量空间分布及其影响因素研究
[D]. 北京 :中国林业科学研究院 ,2018 .
[本文引用: 3]
[23]
FU Yaqing , YIN Ping , GAO Fei , et al .Remote Sensing study on Spartina alterniflora in the northern tidal flat of Sanmen Bay in Zhejiang Province
[J].Periodical of Ocean University of China , 2022 , 52 (1 ):134 -144 .
[本文引用: 1]
付雅晴 , 印萍 , 高飞 , 等 .浙江省三门湾北部潮滩互花米草遥感研究
[J].中国海洋大学学报(自然科学版) , 2022 , 52 (1 ): 134 -144 .
[本文引用: 1]
[24]
YUE J , FENG H , YANG G , et al . A comparison of regression techniques for estimation of above-ground winter wheat biomass using near-surface spectroscopy
[J]. Remote Sensing , 2018 , 10 (1 ):66 . DOI: 10.3390/rs10010066
[本文引用: 1]
[25]
PU R , GONG P . Hyperspectral remote sensing of vegetation bioparameters
[J].Advances in environmental remote sensing:Sensors,algorithms,and applications ,2011 ,7 :101 -142 .
[本文引用: 1]
[26]
LI Bolun , Chaopu TI , YAN Xiaoyuan ,et al .Study of derivation of tasseled cap transformation for Landsat-8 OLI images
[J].Science of Surveying and Mapping , 2016 , 41 (4 ):102 -107 .
[本文引用: 3]
李博伦 , 遆超普 , 颜晓元 , 等 .Landsat 8陆地成像仪影像的缨帽变换推导
[J].测绘科学 , 2016 , 41 (4 ): 102 -107 .
[本文引用: 3]
[27]
GAO Mingliang , GONG Zhaoning , ZHAO Wenji , et al .The study of Vitex negundo shrubs canopy biomass inversion in Beijing Jundu mountainous area based on vegetation indices
[J].Acta Ecologica Sinica ,2014 ,34 (5 ):1178 -1188 .
[本文引用: 1]
高明亮 , 宫兆宁 , 赵文吉 , 等 .基于植被指数的北京军都山荆条灌丛生物量反演研究
[J].生态学报 , 2014 , 34 (5 ):1178 -1188 .
[本文引用: 1]
[28]
KLEMAS V , SMART R . The influence of soil salinity, growth form, and leaf moisture on the spectral radiance of Spartina alterniflora canopies
[J]. Photogrammetric Engineering and Remote Sensing , 1983 , 49 (1 ): 77 -83 .
[本文引用: 2]
[29]
FU Y , YANG G , WANG J , et al . Winter wheat biomass estimation based on spectral indices, band depth analysis and partial least squares regression using hyperspectral measurements
[J]. Computers and Electronics in Agriculture , 2014 , 100 : 51 -59 . DOI: 10.1016/j.compag.2013.10.010
[本文引用: 1]
[30]
KOKALY R F , CLARK R N . Spectroscopic determination of leaf biochemistry using band-depth analysis of absorption features and stepwise multiple linear regression
[J]. Remote Sensing of Environment , 1999 , 67 (3 ): 267 -287 . DOI: 10.1016/s0034-4257(98)00084-4
[本文引用: 1]
[31]
DAEHLER C C , STRONG D R . Variable reproductive output among clones of Spartina alterniflora (Poaceae) invading San Francisco Bay,California:The influence of herbivory, pollination, and establishment site
[J]. American Journal of Botany , 1994 , 81 (3 ):307 -313 . DOI: 10.1002/j.1537-2197.1994.tb15448.x
[本文引用: 1]
[32]
ZHANG L H , ZENG C S , TONG C . Study on biomass dynamics of Phragmites australis and Spartina alterniflora in the wetlands of Minjiang River estuary
[J]. Journal of subtropical resources and environment , 2008 ,3 :25 -33 .
[本文引用: 1]
[33]
WANG Peng , WAN Rongrong , YANG Guishan ,et al .Advance in classification and biomass estimation of plants in wetlands based on multi-source remote sensing data
[J].Wetland Science , 2017 , 15 (1 ):114 -124 .
[本文引用: 1]
王鹏 , 万荣荣 , 杨桂山 , 等 .基于多源遥感数据的湿地植物分类和生物量反演研究进展
[J].湿地科学 , 2017 , 15 (1 ): 114 -124 .
[本文引用: 1]
[34]
JIN X , MA J , WEN Z , et al . Estimation of maize residue cover using Landsat-8 OLI image spectral information and textural features
[J]. Remote Sensing , 2015 , 7 (11 ): 14559 -14575 . DOI: 10.3390/rs71114559
[本文引用: 1]
[35]
LU Linying , SHAO Xuexin , YANG Hui , et al .Response of Spartina alterniflora growth to soil chemical properties in coastal wetland of Zhejiang
[J].Forest Research , 2020 , 33 (5 ):177 -183 .
[本文引用: 1]
陆琳莹 , 邵学新 , 杨慧 , 等 .浙江滨海湿地互花米草生长性状对土壤化学因子的响应
[J].林业科学研究 , 2020 , 33 (5 ): 177 -183 .
[本文引用: 1]
[36]
BRUNO J F . Facilitation of cobble beach plant communities through habitat modification by Spartina alterniflora
[J]. Ecology ,2000 ,81 (5 ):1179 -1192 . DOI:10.1890/0012-9658(2000) 081 [1179:focbpc]2.0.co;2
[本文引用: 1]
[37]
WANG Shoubing , WEI Sijie . Spatial and temporal differences of Spartina alterniflora biomass in coastal wetlands of China
[J]. Advances in Marine Science , 2023 ,41 (3 ):373 -383 .
[本文引用: 1]
王寿兵 ,魏思洁 .中国滨海湿地互花米草生物量时空差异的综述
[J].海洋科学进展 ,2023 ,41 (3 ):373 -383 .
[本文引用: 1]
Rapid invasion of Spartina alterniflora in the coastal zone of mainland China: spatiotemporal patterns and human prevention
2
2019
... 互花米草(Spartina alterniflora )作为外来入侵物种,于1979年12月从北美洲大西洋海岸引入我国,主要生长于潮间带、河口等区域,因具有极强的耐盐性与繁殖扩散能力,已大规模爆发式扩散,现分布于我国北起河北南堡,南至广东雷州半岛的大部分滩涂区域[1 ] .互花米草的入侵一方面加快了滨海湿地生态系系统碳沉积速度,增强湿地土壤固碳能力;另一方面其恶性扩张显著改变原生生态系统群落结构及功能,降低植被群落丰富度和多样性,打破原有的生态系统平衡,造成严重的生态及经济后果[2 -4 ] .滨海湿地作为蓝碳生态系统的主体,长期持续的固碳速率和能力,在区域及全球碳循环过程中具有重要影响[5 ] .互花米草高光合效率、生产力与极强的繁殖能力能够促进植物有机碳的积累;密集植株加快沉积速率促进潮滩淤积,提高盐沼湿地土壤碳的封存能力[6 ] ,改变滨海湿地碳氮库、物质循环以及微地形等环境条件,进而影响滨海湿地碳汇机制[7 ] ,对滨海湿地物种空间分布、群落结构、景观演变和生态系统碳收支平衡产生重大影响[8 ] .植被地上生物量可反映植物初级生产力的高低、生态系统的优劣程度以及生态系统固碳能力的强弱,可作为沼泽湿地植被碳储量估算的重要参考[9 ] ,目前已用于湿地生态系统生产力、碳储量、群落动态特征、结构优化及功能评价等方面[10 -12 ] .互花米草生物量估算研究可为滨海湿地蓝碳形成、潜在变化以及拓展蓝碳增汇途径等提供理论支持. ...
... 本研究估算浙江滨海湿地互花米草AGB主要集中在4 500~6 000 g/m2 ,与陆琳莹[22 ] 野外实测和利用回归方法估算结果相近.互花米草AGB空间异质性可能与其所处不同入侵阶段或人为活动干扰强度有关.互花米草最早于1983年在乐清湾内玉环县引种[35 ] ,其互花米草面积分布较广且AGB总量最高.浙江沿海地区气温受纬度影响由南向北递减,降水量平均值呈现由东南向西北递减的空间分布格局,气候差异在一定程度上导致了互花米草AGB在空间上呈南高北低的分布格局;不同地区河口海湾自然条件、泥滩分布状况、入海河网密度、土壤养分差异,以及互花米草自身抗低氧胁迫能力、生命活动规律等受水淹时长和深度不同,均可影响互花米草的长势[1 ,36 -37 ] ;另外,人类活动如围垦开荒、工业废水、道路修建等,在一定程度上也影响互花米草生物量等生长特征,而不同地区人为活动的干扰程度不同亦可引起互花米草长势及AGB的空间差异. ...
Forty years of ecological engineering with Spartina plantations in China
1
2006
... 互花米草(Spartina alterniflora )作为外来入侵物种,于1979年12月从北美洲大西洋海岸引入我国,主要生长于潮间带、河口等区域,因具有极强的耐盐性与繁殖扩散能力,已大规模爆发式扩散,现分布于我国北起河北南堡,南至广东雷州半岛的大部分滩涂区域[1 ] .互花米草的入侵一方面加快了滨海湿地生态系系统碳沉积速度,增强湿地土壤固碳能力;另一方面其恶性扩张显著改变原生生态系统群落结构及功能,降低植被群落丰富度和多样性,打破原有的生态系统平衡,造成严重的生态及经济后果[2 -4 ] .滨海湿地作为蓝碳生态系统的主体,长期持续的固碳速率和能力,在区域及全球碳循环过程中具有重要影响[5 ] .互花米草高光合效率、生产力与极强的繁殖能力能够促进植物有机碳的积累;密集植株加快沉积速率促进潮滩淤积,提高盐沼湿地土壤碳的封存能力[6 ] ,改变滨海湿地碳氮库、物质循环以及微地形等环境条件,进而影响滨海湿地碳汇机制[7 ] ,对滨海湿地物种空间分布、群落结构、景观演变和生态系统碳收支平衡产生重大影响[8 ] .植被地上生物量可反映植物初级生产力的高低、生态系统的优劣程度以及生态系统固碳能力的强弱,可作为沼泽湿地植被碳储量估算的重要参考[9 ] ,目前已用于湿地生态系统生产力、碳储量、群落动态特征、结构优化及功能评价等方面[10 -12 ] .互花米草生物量估算研究可为滨海湿地蓝碳形成、潜在变化以及拓展蓝碳增汇途径等提供理论支持. ...
基于回归分析的滨海湿地草本植物生物量估算方法研究——以互花米草为例
0
2022
基于回归分析的滨海湿地草本植物生物量估算方法研究——以互花米草为例
0
2022
Monitoring the invasion of Spartina alterniflora using multi-source high-resolution imagery in the Zhangjiang estuary, China
1
2017
... 互花米草(Spartina alterniflora )作为外来入侵物种,于1979年12月从北美洲大西洋海岸引入我国,主要生长于潮间带、河口等区域,因具有极强的耐盐性与繁殖扩散能力,已大规模爆发式扩散,现分布于我国北起河北南堡,南至广东雷州半岛的大部分滩涂区域[1 ] .互花米草的入侵一方面加快了滨海湿地生态系系统碳沉积速度,增强湿地土壤固碳能力;另一方面其恶性扩张显著改变原生生态系统群落结构及功能,降低植被群落丰富度和多样性,打破原有的生态系统平衡,造成严重的生态及经济后果[2 -4 ] .滨海湿地作为蓝碳生态系统的主体,长期持续的固碳速率和能力,在区域及全球碳循环过程中具有重要影响[5 ] .互花米草高光合效率、生产力与极强的繁殖能力能够促进植物有机碳的积累;密集植株加快沉积速率促进潮滩淤积,提高盐沼湿地土壤碳的封存能力[6 ] ,改变滨海湿地碳氮库、物质循环以及微地形等环境条件,进而影响滨海湿地碳汇机制[7 ] ,对滨海湿地物种空间分布、群落结构、景观演变和生态系统碳收支平衡产生重大影响[8 ] .植被地上生物量可反映植物初级生产力的高低、生态系统的优劣程度以及生态系统固碳能力的强弱,可作为沼泽湿地植被碳储量估算的重要参考[9 ] ,目前已用于湿地生态系统生产力、碳储量、群落动态特征、结构优化及功能评价等方面[10 -12 ] .互花米草生物量估算研究可为滨海湿地蓝碳形成、潜在变化以及拓展蓝碳增汇途径等提供理论支持. ...
滨海盐沼湿地蓝色碳汇功能、形成机制及其增汇潜力
1
2022
... 互花米草(Spartina alterniflora )作为外来入侵物种,于1979年12月从北美洲大西洋海岸引入我国,主要生长于潮间带、河口等区域,因具有极强的耐盐性与繁殖扩散能力,已大规模爆发式扩散,现分布于我国北起河北南堡,南至广东雷州半岛的大部分滩涂区域[1 ] .互花米草的入侵一方面加快了滨海湿地生态系系统碳沉积速度,增强湿地土壤固碳能力;另一方面其恶性扩张显著改变原生生态系统群落结构及功能,降低植被群落丰富度和多样性,打破原有的生态系统平衡,造成严重的生态及经济后果[2 -4 ] .滨海湿地作为蓝碳生态系统的主体,长期持续的固碳速率和能力,在区域及全球碳循环过程中具有重要影响[5 ] .互花米草高光合效率、生产力与极强的繁殖能力能够促进植物有机碳的积累;密集植株加快沉积速率促进潮滩淤积,提高盐沼湿地土壤碳的封存能力[6 ] ,改变滨海湿地碳氮库、物质循环以及微地形等环境条件,进而影响滨海湿地碳汇机制[7 ] ,对滨海湿地物种空间分布、群落结构、景观演变和生态系统碳收支平衡产生重大影响[8 ] .植被地上生物量可反映植物初级生产力的高低、生态系统的优劣程度以及生态系统固碳能力的强弱,可作为沼泽湿地植被碳储量估算的重要参考[9 ] ,目前已用于湿地生态系统生产力、碳储量、群落动态特征、结构优化及功能评价等方面[10 -12 ] .互花米草生物量估算研究可为滨海湿地蓝碳形成、潜在变化以及拓展蓝碳增汇途径等提供理论支持. ...
滨海盐沼湿地蓝色碳汇功能、形成机制及其增汇潜力
1
2022
... 互花米草(Spartina alterniflora )作为外来入侵物种,于1979年12月从北美洲大西洋海岸引入我国,主要生长于潮间带、河口等区域,因具有极强的耐盐性与繁殖扩散能力,已大规模爆发式扩散,现分布于我国北起河北南堡,南至广东雷州半岛的大部分滩涂区域[1 ] .互花米草的入侵一方面加快了滨海湿地生态系系统碳沉积速度,增强湿地土壤固碳能力;另一方面其恶性扩张显著改变原生生态系统群落结构及功能,降低植被群落丰富度和多样性,打破原有的生态系统平衡,造成严重的生态及经济后果[2 -4 ] .滨海湿地作为蓝碳生态系统的主体,长期持续的固碳速率和能力,在区域及全球碳循环过程中具有重要影响[5 ] .互花米草高光合效率、生产力与极强的繁殖能力能够促进植物有机碳的积累;密集植株加快沉积速率促进潮滩淤积,提高盐沼湿地土壤碳的封存能力[6 ] ,改变滨海湿地碳氮库、物质循环以及微地形等环境条件,进而影响滨海湿地碳汇机制[7 ] ,对滨海湿地物种空间分布、群落结构、景观演变和生态系统碳收支平衡产生重大影响[8 ] .植被地上生物量可反映植物初级生产力的高低、生态系统的优劣程度以及生态系统固碳能力的强弱,可作为沼泽湿地植被碳储量估算的重要参考[9 ] ,目前已用于湿地生态系统生产力、碳储量、群落动态特征、结构优化及功能评价等方面[10 -12 ] .互花米草生物量估算研究可为滨海湿地蓝碳形成、潜在变化以及拓展蓝碳增汇途径等提供理论支持. ...
中国典型湿地生态系统碳汇功能比较
1
2013
... 互花米草(Spartina alterniflora )作为外来入侵物种,于1979年12月从北美洲大西洋海岸引入我国,主要生长于潮间带、河口等区域,因具有极强的耐盐性与繁殖扩散能力,已大规模爆发式扩散,现分布于我国北起河北南堡,南至广东雷州半岛的大部分滩涂区域[1 ] .互花米草的入侵一方面加快了滨海湿地生态系系统碳沉积速度,增强湿地土壤固碳能力;另一方面其恶性扩张显著改变原生生态系统群落结构及功能,降低植被群落丰富度和多样性,打破原有的生态系统平衡,造成严重的生态及经济后果[2 -4 ] .滨海湿地作为蓝碳生态系统的主体,长期持续的固碳速率和能力,在区域及全球碳循环过程中具有重要影响[5 ] .互花米草高光合效率、生产力与极强的繁殖能力能够促进植物有机碳的积累;密集植株加快沉积速率促进潮滩淤积,提高盐沼湿地土壤碳的封存能力[6 ] ,改变滨海湿地碳氮库、物质循环以及微地形等环境条件,进而影响滨海湿地碳汇机制[7 ] ,对滨海湿地物种空间分布、群落结构、景观演变和生态系统碳收支平衡产生重大影响[8 ] .植被地上生物量可反映植物初级生产力的高低、生态系统的优劣程度以及生态系统固碳能力的强弱,可作为沼泽湿地植被碳储量估算的重要参考[9 ] ,目前已用于湿地生态系统生产力、碳储量、群落动态特征、结构优化及功能评价等方面[10 -12 ] .互花米草生物量估算研究可为滨海湿地蓝碳形成、潜在变化以及拓展蓝碳增汇途径等提供理论支持. ...
中国典型湿地生态系统碳汇功能比较
1
2013
... 互花米草(Spartina alterniflora )作为外来入侵物种,于1979年12月从北美洲大西洋海岸引入我国,主要生长于潮间带、河口等区域,因具有极强的耐盐性与繁殖扩散能力,已大规模爆发式扩散,现分布于我国北起河北南堡,南至广东雷州半岛的大部分滩涂区域[1 ] .互花米草的入侵一方面加快了滨海湿地生态系系统碳沉积速度,增强湿地土壤固碳能力;另一方面其恶性扩张显著改变原生生态系统群落结构及功能,降低植被群落丰富度和多样性,打破原有的生态系统平衡,造成严重的生态及经济后果[2 -4 ] .滨海湿地作为蓝碳生态系统的主体,长期持续的固碳速率和能力,在区域及全球碳循环过程中具有重要影响[5 ] .互花米草高光合效率、生产力与极强的繁殖能力能够促进植物有机碳的积累;密集植株加快沉积速率促进潮滩淤积,提高盐沼湿地土壤碳的封存能力[6 ] ,改变滨海湿地碳氮库、物质循环以及微地形等环境条件,进而影响滨海湿地碳汇机制[7 ] ,对滨海湿地物种空间分布、群落结构、景观演变和生态系统碳收支平衡产生重大影响[8 ] .植被地上生物量可反映植物初级生产力的高低、生态系统的优劣程度以及生态系统固碳能力的强弱,可作为沼泽湿地植被碳储量估算的重要参考[9 ] ,目前已用于湿地生态系统生产力、碳储量、群落动态特征、结构优化及功能评价等方面[10 -12 ] .互花米草生物量估算研究可为滨海湿地蓝碳形成、潜在变化以及拓展蓝碳增汇途径等提供理论支持. ...
中国滨海湿地的蓝色碳汇功能及碳中和对策
1
2021
... 互花米草(Spartina alterniflora )作为外来入侵物种,于1979年12月从北美洲大西洋海岸引入我国,主要生长于潮间带、河口等区域,因具有极强的耐盐性与繁殖扩散能力,已大规模爆发式扩散,现分布于我国北起河北南堡,南至广东雷州半岛的大部分滩涂区域[1 ] .互花米草的入侵一方面加快了滨海湿地生态系系统碳沉积速度,增强湿地土壤固碳能力;另一方面其恶性扩张显著改变原生生态系统群落结构及功能,降低植被群落丰富度和多样性,打破原有的生态系统平衡,造成严重的生态及经济后果[2 -4 ] .滨海湿地作为蓝碳生态系统的主体,长期持续的固碳速率和能力,在区域及全球碳循环过程中具有重要影响[5 ] .互花米草高光合效率、生产力与极强的繁殖能力能够促进植物有机碳的积累;密集植株加快沉积速率促进潮滩淤积,提高盐沼湿地土壤碳的封存能力[6 ] ,改变滨海湿地碳氮库、物质循环以及微地形等环境条件,进而影响滨海湿地碳汇机制[7 ] ,对滨海湿地物种空间分布、群落结构、景观演变和生态系统碳收支平衡产生重大影响[8 ] .植被地上生物量可反映植物初级生产力的高低、生态系统的优劣程度以及生态系统固碳能力的强弱,可作为沼泽湿地植被碳储量估算的重要参考[9 ] ,目前已用于湿地生态系统生产力、碳储量、群落动态特征、结构优化及功能评价等方面[10 -12 ] .互花米草生物量估算研究可为滨海湿地蓝碳形成、潜在变化以及拓展蓝碳增汇途径等提供理论支持. ...
中国滨海湿地的蓝色碳汇功能及碳中和对策
1
2021
... 互花米草(Spartina alterniflora )作为外来入侵物种,于1979年12月从北美洲大西洋海岸引入我国,主要生长于潮间带、河口等区域,因具有极强的耐盐性与繁殖扩散能力,已大规模爆发式扩散,现分布于我国北起河北南堡,南至广东雷州半岛的大部分滩涂区域[1 ] .互花米草的入侵一方面加快了滨海湿地生态系系统碳沉积速度,增强湿地土壤固碳能力;另一方面其恶性扩张显著改变原生生态系统群落结构及功能,降低植被群落丰富度和多样性,打破原有的生态系统平衡,造成严重的生态及经济后果[2 -4 ] .滨海湿地作为蓝碳生态系统的主体,长期持续的固碳速率和能力,在区域及全球碳循环过程中具有重要影响[5 ] .互花米草高光合效率、生产力与极强的繁殖能力能够促进植物有机碳的积累;密集植株加快沉积速率促进潮滩淤积,提高盐沼湿地土壤碳的封存能力[6 ] ,改变滨海湿地碳氮库、物质循环以及微地形等环境条件,进而影响滨海湿地碳汇机制[7 ] ,对滨海湿地物种空间分布、群落结构、景观演变和生态系统碳收支平衡产生重大影响[8 ] .植被地上生物量可反映植物初级生产力的高低、生态系统的优劣程度以及生态系统固碳能力的强弱,可作为沼泽湿地植被碳储量估算的重要参考[9 ] ,目前已用于湿地生态系统生产力、碳储量、群落动态特征、结构优化及功能评价等方面[10 -12 ] .互花米草生物量估算研究可为滨海湿地蓝碳形成、潜在变化以及拓展蓝碳增汇途径等提供理论支持. ...
The relationship of smooth cordgrass (Spartina alterniflora ) to tidal datums: A review
1
1988
... 互花米草(Spartina alterniflora )作为外来入侵物种,于1979年12月从北美洲大西洋海岸引入我国,主要生长于潮间带、河口等区域,因具有极强的耐盐性与繁殖扩散能力,已大规模爆发式扩散,现分布于我国北起河北南堡,南至广东雷州半岛的大部分滩涂区域[1 ] .互花米草的入侵一方面加快了滨海湿地生态系系统碳沉积速度,增强湿地土壤固碳能力;另一方面其恶性扩张显著改变原生生态系统群落结构及功能,降低植被群落丰富度和多样性,打破原有的生态系统平衡,造成严重的生态及经济后果[2 -4 ] .滨海湿地作为蓝碳生态系统的主体,长期持续的固碳速率和能力,在区域及全球碳循环过程中具有重要影响[5 ] .互花米草高光合效率、生产力与极强的繁殖能力能够促进植物有机碳的积累;密集植株加快沉积速率促进潮滩淤积,提高盐沼湿地土壤碳的封存能力[6 ] ,改变滨海湿地碳氮库、物质循环以及微地形等环境条件,进而影响滨海湿地碳汇机制[7 ] ,对滨海湿地物种空间分布、群落结构、景观演变和生态系统碳收支平衡产生重大影响[8 ] .植被地上生物量可反映植物初级生产力的高低、生态系统的优劣程度以及生态系统固碳能力的强弱,可作为沼泽湿地植被碳储量估算的重要参考[9 ] ,目前已用于湿地生态系统生产力、碳储量、群落动态特征、结构优化及功能评价等方面[10 -12 ] .互花米草生物量估算研究可为滨海湿地蓝碳形成、潜在变化以及拓展蓝碳增汇途径等提供理论支持. ...
The spatial distribution and bioenergy estimation of an invasive plant Spartina alterniflora in China
1
2010
... 互花米草(Spartina alterniflora )作为外来入侵物种,于1979年12月从北美洲大西洋海岸引入我国,主要生长于潮间带、河口等区域,因具有极强的耐盐性与繁殖扩散能力,已大规模爆发式扩散,现分布于我国北起河北南堡,南至广东雷州半岛的大部分滩涂区域[1 ] .互花米草的入侵一方面加快了滨海湿地生态系系统碳沉积速度,增强湿地土壤固碳能力;另一方面其恶性扩张显著改变原生生态系统群落结构及功能,降低植被群落丰富度和多样性,打破原有的生态系统平衡,造成严重的生态及经济后果[2 -4 ] .滨海湿地作为蓝碳生态系统的主体,长期持续的固碳速率和能力,在区域及全球碳循环过程中具有重要影响[5 ] .互花米草高光合效率、生产力与极强的繁殖能力能够促进植物有机碳的积累;密集植株加快沉积速率促进潮滩淤积,提高盐沼湿地土壤碳的封存能力[6 ] ,改变滨海湿地碳氮库、物质循环以及微地形等环境条件,进而影响滨海湿地碳汇机制[7 ] ,对滨海湿地物种空间分布、群落结构、景观演变和生态系统碳收支平衡产生重大影响[8 ] .植被地上生物量可反映植物初级生产力的高低、生态系统的优劣程度以及生态系统固碳能力的强弱,可作为沼泽湿地植被碳储量估算的重要参考[9 ] ,目前已用于湿地生态系统生产力、碳储量、群落动态特征、结构优化及功能评价等方面[10 -12 ] .互花米草生物量估算研究可为滨海湿地蓝碳形成、潜在变化以及拓展蓝碳增汇途径等提供理论支持. ...
Remote-sensing inversion method for aboveground biomass of typical steppe in Inner Mongolia,China
1
2021
... 互花米草(Spartina alterniflora )作为外来入侵物种,于1979年12月从北美洲大西洋海岸引入我国,主要生长于潮间带、河口等区域,因具有极强的耐盐性与繁殖扩散能力,已大规模爆发式扩散,现分布于我国北起河北南堡,南至广东雷州半岛的大部分滩涂区域[1 ] .互花米草的入侵一方面加快了滨海湿地生态系系统碳沉积速度,增强湿地土壤固碳能力;另一方面其恶性扩张显著改变原生生态系统群落结构及功能,降低植被群落丰富度和多样性,打破原有的生态系统平衡,造成严重的生态及经济后果[2 -4 ] .滨海湿地作为蓝碳生态系统的主体,长期持续的固碳速率和能力,在区域及全球碳循环过程中具有重要影响[5 ] .互花米草高光合效率、生产力与极强的繁殖能力能够促进植物有机碳的积累;密集植株加快沉积速率促进潮滩淤积,提高盐沼湿地土壤碳的封存能力[6 ] ,改变滨海湿地碳氮库、物质循环以及微地形等环境条件,进而影响滨海湿地碳汇机制[7 ] ,对滨海湿地物种空间分布、群落结构、景观演变和生态系统碳收支平衡产生重大影响[8 ] .植被地上生物量可反映植物初级生产力的高低、生态系统的优劣程度以及生态系统固碳能力的强弱,可作为沼泽湿地植被碳储量估算的重要参考[9 ] ,目前已用于湿地生态系统生产力、碳储量、群落动态特征、结构优化及功能评价等方面[10 -12 ] .互花米草生物量估算研究可为滨海湿地蓝碳形成、潜在变化以及拓展蓝碳增汇途径等提供理论支持. ...
Forest aboveground biomass estimation and mapping through high-resolution optical satellite imagery—A literature review
0
2021
Wetland biomass inversion and space differentiation: A case study of the Yellow River Delta nature reserve
1
2019
... 互花米草(Spartina alterniflora )作为外来入侵物种,于1979年12月从北美洲大西洋海岸引入我国,主要生长于潮间带、河口等区域,因具有极强的耐盐性与繁殖扩散能力,已大规模爆发式扩散,现分布于我国北起河北南堡,南至广东雷州半岛的大部分滩涂区域[1 ] .互花米草的入侵一方面加快了滨海湿地生态系系统碳沉积速度,增强湿地土壤固碳能力;另一方面其恶性扩张显著改变原生生态系统群落结构及功能,降低植被群落丰富度和多样性,打破原有的生态系统平衡,造成严重的生态及经济后果[2 -4 ] .滨海湿地作为蓝碳生态系统的主体,长期持续的固碳速率和能力,在区域及全球碳循环过程中具有重要影响[5 ] .互花米草高光合效率、生产力与极强的繁殖能力能够促进植物有机碳的积累;密集植株加快沉积速率促进潮滩淤积,提高盐沼湿地土壤碳的封存能力[6 ] ,改变滨海湿地碳氮库、物质循环以及微地形等环境条件,进而影响滨海湿地碳汇机制[7 ] ,对滨海湿地物种空间分布、群落结构、景观演变和生态系统碳收支平衡产生重大影响[8 ] .植被地上生物量可反映植物初级生产力的高低、生态系统的优劣程度以及生态系统固碳能力的强弱,可作为沼泽湿地植被碳储量估算的重要参考[9 ] ,目前已用于湿地生态系统生产力、碳储量、群落动态特征、结构优化及功能评价等方面[10 -12 ] .互花米草生物量估算研究可为滨海湿地蓝碳形成、潜在变化以及拓展蓝碳增汇途径等提供理论支持. ...
湿地植被地上生物量遥感估算方法研究进展
1
2016
... 传统植被地上生物量测量方法一般以齐地收割地上部分获取实测数据为主,工作量大且费时费力,对植被破坏程度大,且难以推广到时空尺度上.湿地生态系统内部结构复杂,采样操作难度较大,遥感技术具有快速、准确、对植被破坏性小并能进行宏观监测的优势,已成为湿地植被地上生物量估测的主要方法和研究手段.遥感影像的光谱信息对植被生长变化趋势和生物量有重要指示作用,基于植被光谱信息并结合多种植被指数,利用回归方法构建湿地生物量反演模型最为普遍,而近年来BP神经网络、随机森林等机器学习算法也有一定的进展[13 -15 ] .Mutanga等[16 ] 利用随机森林结合WorldView-2 影像估算高密度湿地植被生物量,发现需要一种有效手段识别最有用的植被指数来改进AGB预测;田艳林等[17 ] 利用植被指数EVI建立松嫩平原西部芦苇AGB最优模型;秦立厚等[18 ] 对单木生物量估算研究表明可通过增加建模样本来减小模型参数的不确定性;韩爽等[19 ] 运用BP神经网络反演盐城湿地植被地上生物量,反演精度达到74%;韩颖等[20 ] 基于TM影像构建多种洪河湿地地上生物量遥感反演模型,发现多元回归模型拟合精度最优,并分析生物量空间分布与DEM的关系,但回归模型结构单一易出现伪回归等问题.相关研究为开展湿地植被生物量的大尺度估算奠定了基础,但多种植被指数间存在高度相关关系,导致回归系数与实际不符,易令生物量估算模型失真,为此需要消除多重共线性问题,实现模型精确估计[21 ] .当前已有人在区域尺度上做了滨海湿地植被生物量的相关研究,但对其生物量反演及格局分析尚不明确.互花米草作为入侵植物对于滨海湿地碳汇及生态系统功能具有重大影响,但对其生物量反演研究仍相对较少. ...
湿地植被地上生物量遥感估算方法研究进展
1
2016
... 传统植被地上生物量测量方法一般以齐地收割地上部分获取实测数据为主,工作量大且费时费力,对植被破坏程度大,且难以推广到时空尺度上.湿地生态系统内部结构复杂,采样操作难度较大,遥感技术具有快速、准确、对植被破坏性小并能进行宏观监测的优势,已成为湿地植被地上生物量估测的主要方法和研究手段.遥感影像的光谱信息对植被生长变化趋势和生物量有重要指示作用,基于植被光谱信息并结合多种植被指数,利用回归方法构建湿地生物量反演模型最为普遍,而近年来BP神经网络、随机森林等机器学习算法也有一定的进展[13 -15 ] .Mutanga等[16 ] 利用随机森林结合WorldView-2 影像估算高密度湿地植被生物量,发现需要一种有效手段识别最有用的植被指数来改进AGB预测;田艳林等[17 ] 利用植被指数EVI建立松嫩平原西部芦苇AGB最优模型;秦立厚等[18 ] 对单木生物量估算研究表明可通过增加建模样本来减小模型参数的不确定性;韩爽等[19 ] 运用BP神经网络反演盐城湿地植被地上生物量,反演精度达到74%;韩颖等[20 ] 基于TM影像构建多种洪河湿地地上生物量遥感反演模型,发现多元回归模型拟合精度最优,并分析生物量空间分布与DEM的关系,但回归模型结构单一易出现伪回归等问题.相关研究为开展湿地植被生物量的大尺度估算奠定了基础,但多种植被指数间存在高度相关关系,导致回归系数与实际不符,易令生物量估算模型失真,为此需要消除多重共线性问题,实现模型精确估计[21 ] .当前已有人在区域尺度上做了滨海湿地植被生物量的相关研究,但对其生物量反演及格局分析尚不明确.互花米草作为入侵植物对于滨海湿地碳汇及生态系统功能具有重大影响,但对其生物量反演研究仍相对较少. ...
基于物候相机归一化植被指数估算高寒草地植物地上生物量的季节动态
0
2021
基于物候相机归一化植被指数估算高寒草地植物地上生物量的季节动态
0
2021
联合GF-6和Sentinel-2红边波段的森林地上生物量反演
1
2021
... 传统植被地上生物量测量方法一般以齐地收割地上部分获取实测数据为主,工作量大且费时费力,对植被破坏程度大,且难以推广到时空尺度上.湿地生态系统内部结构复杂,采样操作难度较大,遥感技术具有快速、准确、对植被破坏性小并能进行宏观监测的优势,已成为湿地植被地上生物量估测的主要方法和研究手段.遥感影像的光谱信息对植被生长变化趋势和生物量有重要指示作用,基于植被光谱信息并结合多种植被指数,利用回归方法构建湿地生物量反演模型最为普遍,而近年来BP神经网络、随机森林等机器学习算法也有一定的进展[13 -15 ] .Mutanga等[16 ] 利用随机森林结合WorldView-2 影像估算高密度湿地植被生物量,发现需要一种有效手段识别最有用的植被指数来改进AGB预测;田艳林等[17 ] 利用植被指数EVI建立松嫩平原西部芦苇AGB最优模型;秦立厚等[18 ] 对单木生物量估算研究表明可通过增加建模样本来减小模型参数的不确定性;韩爽等[19 ] 运用BP神经网络反演盐城湿地植被地上生物量,反演精度达到74%;韩颖等[20 ] 基于TM影像构建多种洪河湿地地上生物量遥感反演模型,发现多元回归模型拟合精度最优,并分析生物量空间分布与DEM的关系,但回归模型结构单一易出现伪回归等问题.相关研究为开展湿地植被生物量的大尺度估算奠定了基础,但多种植被指数间存在高度相关关系,导致回归系数与实际不符,易令生物量估算模型失真,为此需要消除多重共线性问题,实现模型精确估计[21 ] .当前已有人在区域尺度上做了滨海湿地植被生物量的相关研究,但对其生物量反演及格局分析尚不明确.互花米草作为入侵植物对于滨海湿地碳汇及生态系统功能具有重大影响,但对其生物量反演研究仍相对较少. ...
联合GF-6和Sentinel-2红边波段的森林地上生物量反演
1
2021
... 传统植被地上生物量测量方法一般以齐地收割地上部分获取实测数据为主,工作量大且费时费力,对植被破坏程度大,且难以推广到时空尺度上.湿地生态系统内部结构复杂,采样操作难度较大,遥感技术具有快速、准确、对植被破坏性小并能进行宏观监测的优势,已成为湿地植被地上生物量估测的主要方法和研究手段.遥感影像的光谱信息对植被生长变化趋势和生物量有重要指示作用,基于植被光谱信息并结合多种植被指数,利用回归方法构建湿地生物量反演模型最为普遍,而近年来BP神经网络、随机森林等机器学习算法也有一定的进展[13 -15 ] .Mutanga等[16 ] 利用随机森林结合WorldView-2 影像估算高密度湿地植被生物量,发现需要一种有效手段识别最有用的植被指数来改进AGB预测;田艳林等[17 ] 利用植被指数EVI建立松嫩平原西部芦苇AGB最优模型;秦立厚等[18 ] 对单木生物量估算研究表明可通过增加建模样本来减小模型参数的不确定性;韩爽等[19 ] 运用BP神经网络反演盐城湿地植被地上生物量,反演精度达到74%;韩颖等[20 ] 基于TM影像构建多种洪河湿地地上生物量遥感反演模型,发现多元回归模型拟合精度最优,并分析生物量空间分布与DEM的关系,但回归模型结构单一易出现伪回归等问题.相关研究为开展湿地植被生物量的大尺度估算奠定了基础,但多种植被指数间存在高度相关关系,导致回归系数与实际不符,易令生物量估算模型失真,为此需要消除多重共线性问题,实现模型精确估计[21 ] .当前已有人在区域尺度上做了滨海湿地植被生物量的相关研究,但对其生物量反演及格局分析尚不明确.互花米草作为入侵植物对于滨海湿地碳汇及生态系统功能具有重大影响,但对其生物量反演研究仍相对较少. ...
Forest classification and impact of biomass resolution on forest area and aboveground biomass estimation
1
2017
... 传统植被地上生物量测量方法一般以齐地收割地上部分获取实测数据为主,工作量大且费时费力,对植被破坏程度大,且难以推广到时空尺度上.湿地生态系统内部结构复杂,采样操作难度较大,遥感技术具有快速、准确、对植被破坏性小并能进行宏观监测的优势,已成为湿地植被地上生物量估测的主要方法和研究手段.遥感影像的光谱信息对植被生长变化趋势和生物量有重要指示作用,基于植被光谱信息并结合多种植被指数,利用回归方法构建湿地生物量反演模型最为普遍,而近年来BP神经网络、随机森林等机器学习算法也有一定的进展[13 -15 ] .Mutanga等[16 ] 利用随机森林结合WorldView-2 影像估算高密度湿地植被生物量,发现需要一种有效手段识别最有用的植被指数来改进AGB预测;田艳林等[17 ] 利用植被指数EVI建立松嫩平原西部芦苇AGB最优模型;秦立厚等[18 ] 对单木生物量估算研究表明可通过增加建模样本来减小模型参数的不确定性;韩爽等[19 ] 运用BP神经网络反演盐城湿地植被地上生物量,反演精度达到74%;韩颖等[20 ] 基于TM影像构建多种洪河湿地地上生物量遥感反演模型,发现多元回归模型拟合精度最优,并分析生物量空间分布与DEM的关系,但回归模型结构单一易出现伪回归等问题.相关研究为开展湿地植被生物量的大尺度估算奠定了基础,但多种植被指数间存在高度相关关系,导致回归系数与实际不符,易令生物量估算模型失真,为此需要消除多重共线性问题,实现模型精确估计[21 ] .当前已有人在区域尺度上做了滨海湿地植被生物量的相关研究,但对其生物量反演及格局分析尚不明确.互花米草作为入侵植物对于滨海湿地碳汇及生态系统功能具有重大影响,但对其生物量反演研究仍相对较少. ...
基于MODIS数据的松嫩平原西部芦苇湿地地上生物量遥感估算
1
2016
... 传统植被地上生物量测量方法一般以齐地收割地上部分获取实测数据为主,工作量大且费时费力,对植被破坏程度大,且难以推广到时空尺度上.湿地生态系统内部结构复杂,采样操作难度较大,遥感技术具有快速、准确、对植被破坏性小并能进行宏观监测的优势,已成为湿地植被地上生物量估测的主要方法和研究手段.遥感影像的光谱信息对植被生长变化趋势和生物量有重要指示作用,基于植被光谱信息并结合多种植被指数,利用回归方法构建湿地生物量反演模型最为普遍,而近年来BP神经网络、随机森林等机器学习算法也有一定的进展[13 -15 ] .Mutanga等[16 ] 利用随机森林结合WorldView-2 影像估算高密度湿地植被生物量,发现需要一种有效手段识别最有用的植被指数来改进AGB预测;田艳林等[17 ] 利用植被指数EVI建立松嫩平原西部芦苇AGB最优模型;秦立厚等[18 ] 对单木生物量估算研究表明可通过增加建模样本来减小模型参数的不确定性;韩爽等[19 ] 运用BP神经网络反演盐城湿地植被地上生物量,反演精度达到74%;韩颖等[20 ] 基于TM影像构建多种洪河湿地地上生物量遥感反演模型,发现多元回归模型拟合精度最优,并分析生物量空间分布与DEM的关系,但回归模型结构单一易出现伪回归等问题.相关研究为开展湿地植被生物量的大尺度估算奠定了基础,但多种植被指数间存在高度相关关系,导致回归系数与实际不符,易令生物量估算模型失真,为此需要消除多重共线性问题,实现模型精确估计[21 ] .当前已有人在区域尺度上做了滨海湿地植被生物量的相关研究,但对其生物量反演及格局分析尚不明确.互花米草作为入侵植物对于滨海湿地碳汇及生态系统功能具有重大影响,但对其生物量反演研究仍相对较少. ...
基于MODIS数据的松嫩平原西部芦苇湿地地上生物量遥感估算
1
2016
... 传统植被地上生物量测量方法一般以齐地收割地上部分获取实测数据为主,工作量大且费时费力,对植被破坏程度大,且难以推广到时空尺度上.湿地生态系统内部结构复杂,采样操作难度较大,遥感技术具有快速、准确、对植被破坏性小并能进行宏观监测的优势,已成为湿地植被地上生物量估测的主要方法和研究手段.遥感影像的光谱信息对植被生长变化趋势和生物量有重要指示作用,基于植被光谱信息并结合多种植被指数,利用回归方法构建湿地生物量反演模型最为普遍,而近年来BP神经网络、随机森林等机器学习算法也有一定的进展[13 -15 ] .Mutanga等[16 ] 利用随机森林结合WorldView-2 影像估算高密度湿地植被生物量,发现需要一种有效手段识别最有用的植被指数来改进AGB预测;田艳林等[17 ] 利用植被指数EVI建立松嫩平原西部芦苇AGB最优模型;秦立厚等[18 ] 对单木生物量估算研究表明可通过增加建模样本来减小模型参数的不确定性;韩爽等[19 ] 运用BP神经网络反演盐城湿地植被地上生物量,反演精度达到74%;韩颖等[20 ] 基于TM影像构建多种洪河湿地地上生物量遥感反演模型,发现多元回归模型拟合精度最优,并分析生物量空间分布与DEM的关系,但回归模型结构单一易出现伪回归等问题.相关研究为开展湿地植被生物量的大尺度估算奠定了基础,但多种植被指数间存在高度相关关系,导致回归系数与实际不符,易令生物量估算模型失真,为此需要消除多重共线性问题,实现模型精确估计[21 ] .当前已有人在区域尺度上做了滨海湿地植被生物量的相关研究,但对其生物量反演及格局分析尚不明确.互花米草作为入侵植物对于滨海湿地碳汇及生态系统功能具有重大影响,但对其生物量反演研究仍相对较少. ...
森林生物量估算中模型不确定性分析
1
2017
... 传统植被地上生物量测量方法一般以齐地收割地上部分获取实测数据为主,工作量大且费时费力,对植被破坏程度大,且难以推广到时空尺度上.湿地生态系统内部结构复杂,采样操作难度较大,遥感技术具有快速、准确、对植被破坏性小并能进行宏观监测的优势,已成为湿地植被地上生物量估测的主要方法和研究手段.遥感影像的光谱信息对植被生长变化趋势和生物量有重要指示作用,基于植被光谱信息并结合多种植被指数,利用回归方法构建湿地生物量反演模型最为普遍,而近年来BP神经网络、随机森林等机器学习算法也有一定的进展[13 -15 ] .Mutanga等[16 ] 利用随机森林结合WorldView-2 影像估算高密度湿地植被生物量,发现需要一种有效手段识别最有用的植被指数来改进AGB预测;田艳林等[17 ] 利用植被指数EVI建立松嫩平原西部芦苇AGB最优模型;秦立厚等[18 ] 对单木生物量估算研究表明可通过增加建模样本来减小模型参数的不确定性;韩爽等[19 ] 运用BP神经网络反演盐城湿地植被地上生物量,反演精度达到74%;韩颖等[20 ] 基于TM影像构建多种洪河湿地地上生物量遥感反演模型,发现多元回归模型拟合精度最优,并分析生物量空间分布与DEM的关系,但回归模型结构单一易出现伪回归等问题.相关研究为开展湿地植被生物量的大尺度估算奠定了基础,但多种植被指数间存在高度相关关系,导致回归系数与实际不符,易令生物量估算模型失真,为此需要消除多重共线性问题,实现模型精确估计[21 ] .当前已有人在区域尺度上做了滨海湿地植被生物量的相关研究,但对其生物量反演及格局分析尚不明确.互花米草作为入侵植物对于滨海湿地碳汇及生态系统功能具有重大影响,但对其生物量反演研究仍相对较少. ...
森林生物量估算中模型不确定性分析
1
2017
... 传统植被地上生物量测量方法一般以齐地收割地上部分获取实测数据为主,工作量大且费时费力,对植被破坏程度大,且难以推广到时空尺度上.湿地生态系统内部结构复杂,采样操作难度较大,遥感技术具有快速、准确、对植被破坏性小并能进行宏观监测的优势,已成为湿地植被地上生物量估测的主要方法和研究手段.遥感影像的光谱信息对植被生长变化趋势和生物量有重要指示作用,基于植被光谱信息并结合多种植被指数,利用回归方法构建湿地生物量反演模型最为普遍,而近年来BP神经网络、随机森林等机器学习算法也有一定的进展[13 -15 ] .Mutanga等[16 ] 利用随机森林结合WorldView-2 影像估算高密度湿地植被生物量,发现需要一种有效手段识别最有用的植被指数来改进AGB预测;田艳林等[17 ] 利用植被指数EVI建立松嫩平原西部芦苇AGB最优模型;秦立厚等[18 ] 对单木生物量估算研究表明可通过增加建模样本来减小模型参数的不确定性;韩爽等[19 ] 运用BP神经网络反演盐城湿地植被地上生物量,反演精度达到74%;韩颖等[20 ] 基于TM影像构建多种洪河湿地地上生物量遥感反演模型,发现多元回归模型拟合精度最优,并分析生物量空间分布与DEM的关系,但回归模型结构单一易出现伪回归等问题.相关研究为开展湿地植被生物量的大尺度估算奠定了基础,但多种植被指数间存在高度相关关系,导致回归系数与实际不符,易令生物量估算模型失真,为此需要消除多重共线性问题,实现模型精确估计[21 ] .当前已有人在区域尺度上做了滨海湿地植被生物量的相关研究,但对其生物量反演及格局分析尚不明确.互花米草作为入侵植物对于滨海湿地碳汇及生态系统功能具有重大影响,但对其生物量反演研究仍相对较少. ...
盐城海滨湿地植被地上生物量遥感反演研究
1
2018
... 传统植被地上生物量测量方法一般以齐地收割地上部分获取实测数据为主,工作量大且费时费力,对植被破坏程度大,且难以推广到时空尺度上.湿地生态系统内部结构复杂,采样操作难度较大,遥感技术具有快速、准确、对植被破坏性小并能进行宏观监测的优势,已成为湿地植被地上生物量估测的主要方法和研究手段.遥感影像的光谱信息对植被生长变化趋势和生物量有重要指示作用,基于植被光谱信息并结合多种植被指数,利用回归方法构建湿地生物量反演模型最为普遍,而近年来BP神经网络、随机森林等机器学习算法也有一定的进展[13 -15 ] .Mutanga等[16 ] 利用随机森林结合WorldView-2 影像估算高密度湿地植被生物量,发现需要一种有效手段识别最有用的植被指数来改进AGB预测;田艳林等[17 ] 利用植被指数EVI建立松嫩平原西部芦苇AGB最优模型;秦立厚等[18 ] 对单木生物量估算研究表明可通过增加建模样本来减小模型参数的不确定性;韩爽等[19 ] 运用BP神经网络反演盐城湿地植被地上生物量,反演精度达到74%;韩颖等[20 ] 基于TM影像构建多种洪河湿地地上生物量遥感反演模型,发现多元回归模型拟合精度最优,并分析生物量空间分布与DEM的关系,但回归模型结构单一易出现伪回归等问题.相关研究为开展湿地植被生物量的大尺度估算奠定了基础,但多种植被指数间存在高度相关关系,导致回归系数与实际不符,易令生物量估算模型失真,为此需要消除多重共线性问题,实现模型精确估计[21 ] .当前已有人在区域尺度上做了滨海湿地植被生物量的相关研究,但对其生物量反演及格局分析尚不明确.互花米草作为入侵植物对于滨海湿地碳汇及生态系统功能具有重大影响,但对其生物量反演研究仍相对较少. ...
盐城海滨湿地植被地上生物量遥感反演研究
1
2018
... 传统植被地上生物量测量方法一般以齐地收割地上部分获取实测数据为主,工作量大且费时费力,对植被破坏程度大,且难以推广到时空尺度上.湿地生态系统内部结构复杂,采样操作难度较大,遥感技术具有快速、准确、对植被破坏性小并能进行宏观监测的优势,已成为湿地植被地上生物量估测的主要方法和研究手段.遥感影像的光谱信息对植被生长变化趋势和生物量有重要指示作用,基于植被光谱信息并结合多种植被指数,利用回归方法构建湿地生物量反演模型最为普遍,而近年来BP神经网络、随机森林等机器学习算法也有一定的进展[13 -15 ] .Mutanga等[16 ] 利用随机森林结合WorldView-2 影像估算高密度湿地植被生物量,发现需要一种有效手段识别最有用的植被指数来改进AGB预测;田艳林等[17 ] 利用植被指数EVI建立松嫩平原西部芦苇AGB最优模型;秦立厚等[18 ] 对单木生物量估算研究表明可通过增加建模样本来减小模型参数的不确定性;韩爽等[19 ] 运用BP神经网络反演盐城湿地植被地上生物量,反演精度达到74%;韩颖等[20 ] 基于TM影像构建多种洪河湿地地上生物量遥感反演模型,发现多元回归模型拟合精度最优,并分析生物量空间分布与DEM的关系,但回归模型结构单一易出现伪回归等问题.相关研究为开展湿地植被生物量的大尺度估算奠定了基础,但多种植被指数间存在高度相关关系,导致回归系数与实际不符,易令生物量估算模型失真,为此需要消除多重共线性问题,实现模型精确估计[21 ] .当前已有人在区域尺度上做了滨海湿地植被生物量的相关研究,但对其生物量反演及格局分析尚不明确.互花米草作为入侵植物对于滨海湿地碳汇及生态系统功能具有重大影响,但对其生物量反演研究仍相对较少. ...
洪河湿地植被地上生物量遥感反演研究
1
2014
... 传统植被地上生物量测量方法一般以齐地收割地上部分获取实测数据为主,工作量大且费时费力,对植被破坏程度大,且难以推广到时空尺度上.湿地生态系统内部结构复杂,采样操作难度较大,遥感技术具有快速、准确、对植被破坏性小并能进行宏观监测的优势,已成为湿地植被地上生物量估测的主要方法和研究手段.遥感影像的光谱信息对植被生长变化趋势和生物量有重要指示作用,基于植被光谱信息并结合多种植被指数,利用回归方法构建湿地生物量反演模型最为普遍,而近年来BP神经网络、随机森林等机器学习算法也有一定的进展[13 -15 ] .Mutanga等[16 ] 利用随机森林结合WorldView-2 影像估算高密度湿地植被生物量,发现需要一种有效手段识别最有用的植被指数来改进AGB预测;田艳林等[17 ] 利用植被指数EVI建立松嫩平原西部芦苇AGB最优模型;秦立厚等[18 ] 对单木生物量估算研究表明可通过增加建模样本来减小模型参数的不确定性;韩爽等[19 ] 运用BP神经网络反演盐城湿地植被地上生物量,反演精度达到74%;韩颖等[20 ] 基于TM影像构建多种洪河湿地地上生物量遥感反演模型,发现多元回归模型拟合精度最优,并分析生物量空间分布与DEM的关系,但回归模型结构单一易出现伪回归等问题.相关研究为开展湿地植被生物量的大尺度估算奠定了基础,但多种植被指数间存在高度相关关系,导致回归系数与实际不符,易令生物量估算模型失真,为此需要消除多重共线性问题,实现模型精确估计[21 ] .当前已有人在区域尺度上做了滨海湿地植被生物量的相关研究,但对其生物量反演及格局分析尚不明确.互花米草作为入侵植物对于滨海湿地碳汇及生态系统功能具有重大影响,但对其生物量反演研究仍相对较少. ...
洪河湿地植被地上生物量遥感反演研究
1
2014
... 传统植被地上生物量测量方法一般以齐地收割地上部分获取实测数据为主,工作量大且费时费力,对植被破坏程度大,且难以推广到时空尺度上.湿地生态系统内部结构复杂,采样操作难度较大,遥感技术具有快速、准确、对植被破坏性小并能进行宏观监测的优势,已成为湿地植被地上生物量估测的主要方法和研究手段.遥感影像的光谱信息对植被生长变化趋势和生物量有重要指示作用,基于植被光谱信息并结合多种植被指数,利用回归方法构建湿地生物量反演模型最为普遍,而近年来BP神经网络、随机森林等机器学习算法也有一定的进展[13 -15 ] .Mutanga等[16 ] 利用随机森林结合WorldView-2 影像估算高密度湿地植被生物量,发现需要一种有效手段识别最有用的植被指数来改进AGB预测;田艳林等[17 ] 利用植被指数EVI建立松嫩平原西部芦苇AGB最优模型;秦立厚等[18 ] 对单木生物量估算研究表明可通过增加建模样本来减小模型参数的不确定性;韩爽等[19 ] 运用BP神经网络反演盐城湿地植被地上生物量,反演精度达到74%;韩颖等[20 ] 基于TM影像构建多种洪河湿地地上生物量遥感反演模型,发现多元回归模型拟合精度最优,并分析生物量空间分布与DEM的关系,但回归模型结构单一易出现伪回归等问题.相关研究为开展湿地植被生物量的大尺度估算奠定了基础,但多种植被指数间存在高度相关关系,导致回归系数与实际不符,易令生物量估算模型失真,为此需要消除多重共线性问题,实现模型精确估计[21 ] .当前已有人在区域尺度上做了滨海湿地植被生物量的相关研究,但对其生物量反演及格局分析尚不明确.互花米草作为入侵植物对于滨海湿地碳汇及生态系统功能具有重大影响,但对其生物量反演研究仍相对较少. ...
多元线性回归模型及实例应用
1
2022
... 传统植被地上生物量测量方法一般以齐地收割地上部分获取实测数据为主,工作量大且费时费力,对植被破坏程度大,且难以推广到时空尺度上.湿地生态系统内部结构复杂,采样操作难度较大,遥感技术具有快速、准确、对植被破坏性小并能进行宏观监测的优势,已成为湿地植被地上生物量估测的主要方法和研究手段.遥感影像的光谱信息对植被生长变化趋势和生物量有重要指示作用,基于植被光谱信息并结合多种植被指数,利用回归方法构建湿地生物量反演模型最为普遍,而近年来BP神经网络、随机森林等机器学习算法也有一定的进展[13 -15 ] .Mutanga等[16 ] 利用随机森林结合WorldView-2 影像估算高密度湿地植被生物量,发现需要一种有效手段识别最有用的植被指数来改进AGB预测;田艳林等[17 ] 利用植被指数EVI建立松嫩平原西部芦苇AGB最优模型;秦立厚等[18 ] 对单木生物量估算研究表明可通过增加建模样本来减小模型参数的不确定性;韩爽等[19 ] 运用BP神经网络反演盐城湿地植被地上生物量,反演精度达到74%;韩颖等[20 ] 基于TM影像构建多种洪河湿地地上生物量遥感反演模型,发现多元回归模型拟合精度最优,并分析生物量空间分布与DEM的关系,但回归模型结构单一易出现伪回归等问题.相关研究为开展湿地植被生物量的大尺度估算奠定了基础,但多种植被指数间存在高度相关关系,导致回归系数与实际不符,易令生物量估算模型失真,为此需要消除多重共线性问题,实现模型精确估计[21 ] .当前已有人在区域尺度上做了滨海湿地植被生物量的相关研究,但对其生物量反演及格局分析尚不明确.互花米草作为入侵植物对于滨海湿地碳汇及生态系统功能具有重大影响,但对其生物量反演研究仍相对较少. ...
多元线性回归模型及实例应用
1
2022
... 传统植被地上生物量测量方法一般以齐地收割地上部分获取实测数据为主,工作量大且费时费力,对植被破坏程度大,且难以推广到时空尺度上.湿地生态系统内部结构复杂,采样操作难度较大,遥感技术具有快速、准确、对植被破坏性小并能进行宏观监测的优势,已成为湿地植被地上生物量估测的主要方法和研究手段.遥感影像的光谱信息对植被生长变化趋势和生物量有重要指示作用,基于植被光谱信息并结合多种植被指数,利用回归方法构建湿地生物量反演模型最为普遍,而近年来BP神经网络、随机森林等机器学习算法也有一定的进展[13 -15 ] .Mutanga等[16 ] 利用随机森林结合WorldView-2 影像估算高密度湿地植被生物量,发现需要一种有效手段识别最有用的植被指数来改进AGB预测;田艳林等[17 ] 利用植被指数EVI建立松嫩平原西部芦苇AGB最优模型;秦立厚等[18 ] 对单木生物量估算研究表明可通过增加建模样本来减小模型参数的不确定性;韩爽等[19 ] 运用BP神经网络反演盐城湿地植被地上生物量,反演精度达到74%;韩颖等[20 ] 基于TM影像构建多种洪河湿地地上生物量遥感反演模型,发现多元回归模型拟合精度最优,并分析生物量空间分布与DEM的关系,但回归模型结构单一易出现伪回归等问题.相关研究为开展湿地植被生物量的大尺度估算奠定了基础,但多种植被指数间存在高度相关关系,导致回归系数与实际不符,易令生物量估算模型失真,为此需要消除多重共线性问题,实现模型精确估计[21 ] .当前已有人在区域尺度上做了滨海湿地植被生物量的相关研究,但对其生物量反演及格局分析尚不明确.互花米草作为入侵植物对于滨海湿地碳汇及生态系统功能具有重大影响,但对其生物量反演研究仍相对较少. ...
浙江滨海湿地互花米草生物量空间分布及其影响因素研究
3
2018
... 研究区为我国浙江东南沿海地区(27°55′~30°51′ N,120°54′~122°10′E),地处长江三角洲南侧,属亚热带季风气候,季风显著,年平均气温15~18℃,年平均雨量在1 200~2 000 mm,降水量充沛,雨热同期,年平均日照时数1 710~2 100 h[22 ] .该地海岸受多重潮流影响,潮汐类型复杂多变,加之长江大量泥沙入海和潮流输沙,经多年演变,易形成深水港汊和淤泥舌状滩地,构成独特的港湾河口淤泥质地貌[23 ] .天然独特的地理优势孕育丰富的滨海湿地类型,自然湿地和人工湿地总面积达到7 818.74 km2[22 ] ,沉积物丰富的港湾河口地貌为盐沼植物生长提供了有效的物质基础,典型盐沼植被为互花米草、芦苇、海三棱藨草及红树林等. ...
... 2[22 ],沉积物丰富的港湾河口地貌为盐沼植物生长提供了有效的物质基础,典型盐沼植被为互花米草、芦苇、海三棱藨草及红树林等. ...
... 本研究估算浙江滨海湿地互花米草AGB主要集中在4 500~6 000 g/m2 ,与陆琳莹[22 ] 野外实测和利用回归方法估算结果相近.互花米草AGB空间异质性可能与其所处不同入侵阶段或人为活动干扰强度有关.互花米草最早于1983年在乐清湾内玉环县引种[35 ] ,其互花米草面积分布较广且AGB总量最高.浙江沿海地区气温受纬度影响由南向北递减,降水量平均值呈现由东南向西北递减的空间分布格局,气候差异在一定程度上导致了互花米草AGB在空间上呈南高北低的分布格局;不同地区河口海湾自然条件、泥滩分布状况、入海河网密度、土壤养分差异,以及互花米草自身抗低氧胁迫能力、生命活动规律等受水淹时长和深度不同,均可影响互花米草的长势[1 ,36 -37 ] ;另外,人类活动如围垦开荒、工业废水、道路修建等,在一定程度上也影响互花米草生物量等生长特征,而不同地区人为活动的干扰程度不同亦可引起互花米草长势及AGB的空间差异. ...
浙江滨海湿地互花米草生物量空间分布及其影响因素研究
3
2018
... 研究区为我国浙江东南沿海地区(27°55′~30°51′ N,120°54′~122°10′E),地处长江三角洲南侧,属亚热带季风气候,季风显著,年平均气温15~18℃,年平均雨量在1 200~2 000 mm,降水量充沛,雨热同期,年平均日照时数1 710~2 100 h[22 ] .该地海岸受多重潮流影响,潮汐类型复杂多变,加之长江大量泥沙入海和潮流输沙,经多年演变,易形成深水港汊和淤泥舌状滩地,构成独特的港湾河口淤泥质地貌[23 ] .天然独特的地理优势孕育丰富的滨海湿地类型,自然湿地和人工湿地总面积达到7 818.74 km2[22 ] ,沉积物丰富的港湾河口地貌为盐沼植物生长提供了有效的物质基础,典型盐沼植被为互花米草、芦苇、海三棱藨草及红树林等. ...
... 2[22 ],沉积物丰富的港湾河口地貌为盐沼植物生长提供了有效的物质基础,典型盐沼植被为互花米草、芦苇、海三棱藨草及红树林等. ...
... 本研究估算浙江滨海湿地互花米草AGB主要集中在4 500~6 000 g/m2 ,与陆琳莹[22 ] 野外实测和利用回归方法估算结果相近.互花米草AGB空间异质性可能与其所处不同入侵阶段或人为活动干扰强度有关.互花米草最早于1983年在乐清湾内玉环县引种[35 ] ,其互花米草面积分布较广且AGB总量最高.浙江沿海地区气温受纬度影响由南向北递减,降水量平均值呈现由东南向西北递减的空间分布格局,气候差异在一定程度上导致了互花米草AGB在空间上呈南高北低的分布格局;不同地区河口海湾自然条件、泥滩分布状况、入海河网密度、土壤养分差异,以及互花米草自身抗低氧胁迫能力、生命活动规律等受水淹时长和深度不同,均可影响互花米草的长势[1 ,36 -37 ] ;另外,人类活动如围垦开荒、工业废水、道路修建等,在一定程度上也影响互花米草生物量等生长特征,而不同地区人为活动的干扰程度不同亦可引起互花米草长势及AGB的空间差异. ...
浙江省三门湾北部潮滩互花米草遥感研究
1
2022
... 研究区为我国浙江东南沿海地区(27°55′~30°51′ N,120°54′~122°10′E),地处长江三角洲南侧,属亚热带季风气候,季风显著,年平均气温15~18℃,年平均雨量在1 200~2 000 mm,降水量充沛,雨热同期,年平均日照时数1 710~2 100 h[22 ] .该地海岸受多重潮流影响,潮汐类型复杂多变,加之长江大量泥沙入海和潮流输沙,经多年演变,易形成深水港汊和淤泥舌状滩地,构成独特的港湾河口淤泥质地貌[23 ] .天然独特的地理优势孕育丰富的滨海湿地类型,自然湿地和人工湿地总面积达到7 818.74 km2[22 ] ,沉积物丰富的港湾河口地貌为盐沼植物生长提供了有效的物质基础,典型盐沼植被为互花米草、芦苇、海三棱藨草及红树林等. ...
浙江省三门湾北部潮滩互花米草遥感研究
1
2022
... 研究区为我国浙江东南沿海地区(27°55′~30°51′ N,120°54′~122°10′E),地处长江三角洲南侧,属亚热带季风气候,季风显著,年平均气温15~18℃,年平均雨量在1 200~2 000 mm,降水量充沛,雨热同期,年平均日照时数1 710~2 100 h[22 ] .该地海岸受多重潮流影响,潮汐类型复杂多变,加之长江大量泥沙入海和潮流输沙,经多年演变,易形成深水港汊和淤泥舌状滩地,构成独特的港湾河口淤泥质地貌[23 ] .天然独特的地理优势孕育丰富的滨海湿地类型,自然湿地和人工湿地总面积达到7 818.74 km2[22 ] ,沉积物丰富的港湾河口地貌为盐沼植物生长提供了有效的物质基础,典型盐沼植被为互花米草、芦苇、海三棱藨草及红树林等. ...
A comparison of regression techniques for estimation of above-ground winter wheat biomass using near-surface spectroscopy
1
2018
... 实验于2016年7月下旬及8月初进行互花米草野外调查和生物量采样.在浙江东部沿海依据全面性、代表性和典型性的样地选取原则,在典型互花米草群落中随机设置均质样地,于内部布设3个0.5 m×0.5 m的子样方,统计各子样方内互花米草株数,并随机选取5株植株齐地收割地上部分,置于保温箱中带回实验室;设置烘箱为105℃温度下杀青,在80℃恒温烘干24 h至恒重,取出冷却20 min后用精度为0.01 g的天平称其干重[24 ] ;求取3个子样方生物量均值作为该子样方互花米草地上生物量,最后将其换算为单位面积生物量,共采集有效生物量样本48个. ...
Hyperspectral remote sensing of vegetation bioparameters
1
2011
... 植被指数(VIs)是对植被生化物理参数的有效度量,广泛应用于植被地上生物量遥感估算[25 ] .参考生物量遥感反演相关文献并结合研究区特点,本研究选取波段倒数、波段比值、植被指数与缨帽变换分量构建遥感变量库(表1 ),并对变量作z-score标准化处理.最终对生物量与各遥感变量进行相关分析,共选取与互花米草地上生物量存在极显著相关关系(P<0.01)的变量作为建模参数. ...
Landsat 8陆地成像仪影像的缨帽变换推导
3
2016
... Calculation formula of Remote sensing variables
Table 1 遥感变量 计算公式 归一化植被指数 NDVI N D V I = B 5 - B 4 B 5 + B 4 差值植被指数 DVI D V I = B 5 - B 4 比值植被指数 RVI R V I = B 5 / B 4 土壤调节植被指数 SAVI S A V I = B 5 - B 4 ( 1 + L ) B 5 + B 4 + L 垂直植被指数 PVI P V I = B 5 - 10.489 B 4 - 6.604 1 + 10 . 489 2 大气阻抗植被指数ARVI A R V I = B 5 - 2 B 4 - B 2 B 5 + 2 B 4 - B 2 增强植被指数EVI E V I = 2.5 B 5 - B 4 B 5 + 6 B 4 - 7.5 B 2 + 1 绿度植被指数 GNDVI G N D V I = ( B 5 - B 3 ) ( B 5 + B 3 ) 亮度 见参考文献[26 ] 绿度 见参考文献[26 ] 湿度 见参考文献[26 ] 波段倒数 1 / B n 波段比值 B n / B m
注: B 1 表示Coastal波段,B 2 表示蓝光波段,B 3 表示绿光波段,B 4 表示红光波段,B 5 表示近红外波段,B 6 表示SWIR1波段,B 7 表示SWIR2波段;L为土壤调节系数,本研究L取0.5;n 取值范围为1~7,m 取值范围为2~7(n < m 且 n ≠ m ) ...
... 见参考文献[
26 ]
湿度 见参考文献[26 ] 波段倒数 1 / B n 波段比值 B n / B m 注: B 1 表示Coastal波段,B 2 表示蓝光波段,B 3 表示绿光波段,B 4 表示红光波段,B 5 表示近红外波段,B 6 表示SWIR1波段,B 7 表示SWIR2波段;L为土壤调节系数,本研究L取0.5;n 取值范围为1~7,m 取值范围为2~7(n < m 且 n ≠ m ) ...
... 见参考文献[
26 ]
波段倒数 1 / B n 波段比值 B n / B m 注: B 1 表示Coastal波段,B 2 表示蓝光波段,B 3 表示绿光波段,B 4 表示红光波段,B 5 表示近红外波段,B 6 表示SWIR1波段,B 7 表示SWIR2波段;L为土壤调节系数,本研究L取0.5;n 取值范围为1~7,m 取值范围为2~7(n < m 且 n ≠ m ) ...
Landsat 8陆地成像仪影像的缨帽变换推导
3
2016
... Calculation formula of Remote sensing variables
Table 1 遥感变量 计算公式 归一化植被指数 NDVI N D V I = B 5 - B 4 B 5 + B 4 差值植被指数 DVI D V I = B 5 - B 4 比值植被指数 RVI R V I = B 5 / B 4 土壤调节植被指数 SAVI S A V I = B 5 - B 4 ( 1 + L ) B 5 + B 4 + L 垂直植被指数 PVI P V I = B 5 - 10.489 B 4 - 6.604 1 + 10 . 489 2 大气阻抗植被指数ARVI A R V I = B 5 - 2 B 4 - B 2 B 5 + 2 B 4 - B 2 增强植被指数EVI E V I = 2.5 B 5 - B 4 B 5 + 6 B 4 - 7.5 B 2 + 1 绿度植被指数 GNDVI G N D V I = ( B 5 - B 3 ) ( B 5 + B 3 ) 亮度 见参考文献[26 ] 绿度 见参考文献[26 ] 湿度 见参考文献[26 ] 波段倒数 1 / B n 波段比值 B n / B m
注: B 1 表示Coastal波段,B 2 表示蓝光波段,B 3 表示绿光波段,B 4 表示红光波段,B 5 表示近红外波段,B 6 表示SWIR1波段,B 7 表示SWIR2波段;L为土壤调节系数,本研究L取0.5;n 取值范围为1~7,m 取值范围为2~7(n < m 且 n ≠ m ) ...
... 见参考文献[
26 ]
湿度 见参考文献[26 ] 波段倒数 1 / B n 波段比值 B n / B m 注: B 1 表示Coastal波段,B 2 表示蓝光波段,B 3 表示绿光波段,B 4 表示红光波段,B 5 表示近红外波段,B 6 表示SWIR1波段,B 7 表示SWIR2波段;L为土壤调节系数,本研究L取0.5;n 取值范围为1~7,m 取值范围为2~7(n < m 且 n ≠ m ) ...
... 见参考文献[
26 ]
波段倒数 1 / B n 波段比值 B n / B m 注: B 1 表示Coastal波段,B 2 表示蓝光波段,B 3 表示绿光波段,B 4 表示红光波段,B 5 表示近红外波段,B 6 表示SWIR1波段,B 7 表示SWIR2波段;L为土壤调节系数,本研究L取0.5;n 取值范围为1~7,m 取值范围为2~7(n < m 且 n ≠ m ) ...
基于植被指数的北京军都山荆条灌丛生物量反演研究
1
2014
... 从遥感变量库和样点实测AGB数据所组成的样本序列中,随机选取36个样点数据作为训练样本,分别建立单变量回归、多元线性回归、多尺度地理加权回归以及偏最小二乘回归模型.其中,单变量回归分别选取二次、三次多项式、S型曲线和指数函数进行建模.MLR相对于单变量能更有效地进行预测或估计.MGWR可用于探索因变量与解释变量之间的空间关系,是一种具有空间参数的回归模型(公式(1) ).PLSR模型集成了多元线性回归、主成分分析和典型相关分析的优点,一定程度上可以避免数据非正态分布、因子结构不确定等潜在问题[27 ] . ...
基于植被指数的北京军都山荆条灌丛生物量反演研究
1
2014
... 从遥感变量库和样点实测AGB数据所组成的样本序列中,随机选取36个样点数据作为训练样本,分别建立单变量回归、多元线性回归、多尺度地理加权回归以及偏最小二乘回归模型.其中,单变量回归分别选取二次、三次多项式、S型曲线和指数函数进行建模.MLR相对于单变量能更有效地进行预测或估计.MGWR可用于探索因变量与解释变量之间的空间关系,是一种具有空间参数的回归模型(公式(1) ).PLSR模型集成了多元线性回归、主成分分析和典型相关分析的优点,一定程度上可以避免数据非正态分布、因子结构不确定等潜在问题[27 ] . ...
The influence of soil salinity, growth form, and leaf moisture on the spectral radiance of Spartina alterniflora canopies
2
1983
... 不同光谱通道所获取的遥感信息与植被的不同生长状态的相关性存在一定程度的差异,不同植被指数对AGB建立模型的精度有所影响[28 ] .以往研究表明,红边和近红外波段可有效估计植被AGB[29 ] ,根据红边和近红外波段计算的植被指数可以最大限度地减少大气和水吸收以及土壤背景的影响[28 ] .互花米草的生长环境特殊,构建的植被指数对日照时长、水淹程度响应不同,从而依据植被指数构建的互花米草AGB模型精度会受影响[30 -31 ] .红边和近红外波段等不同组合形式的植被指数对于估算不同生长阶段的互花米草AGB是切实有效的,并且可用于估计互花米草整个生长季的AGB估算.但是针对不同湿地的特殊环境条件和植物类型特征,反演互花米草AGB的精度往往取决于植被指数是否选取得当,为得到最佳的反演结果需要综合利用各种植被指数[32 ] ,最终优选出的PVI、NDVI等植被指数可较好地提高互花米草AGB模型估算精度. ...
... [28 ].互花米草的生长环境特殊,构建的植被指数对日照时长、水淹程度响应不同,从而依据植被指数构建的互花米草AGB模型精度会受影响[30 -31 ] .红边和近红外波段等不同组合形式的植被指数对于估算不同生长阶段的互花米草AGB是切实有效的,并且可用于估计互花米草整个生长季的AGB估算.但是针对不同湿地的特殊环境条件和植物类型特征,反演互花米草AGB的精度往往取决于植被指数是否选取得当,为得到最佳的反演结果需要综合利用各种植被指数[32 ] ,最终优选出的PVI、NDVI等植被指数可较好地提高互花米草AGB模型估算精度. ...
Winter wheat biomass estimation based on spectral indices, band depth analysis and partial least squares regression using hyperspectral measurements
1
2014
... 不同光谱通道所获取的遥感信息与植被的不同生长状态的相关性存在一定程度的差异,不同植被指数对AGB建立模型的精度有所影响[28 ] .以往研究表明,红边和近红外波段可有效估计植被AGB[29 ] ,根据红边和近红外波段计算的植被指数可以最大限度地减少大气和水吸收以及土壤背景的影响[28 ] .互花米草的生长环境特殊,构建的植被指数对日照时长、水淹程度响应不同,从而依据植被指数构建的互花米草AGB模型精度会受影响[30 -31 ] .红边和近红外波段等不同组合形式的植被指数对于估算不同生长阶段的互花米草AGB是切实有效的,并且可用于估计互花米草整个生长季的AGB估算.但是针对不同湿地的特殊环境条件和植物类型特征,反演互花米草AGB的精度往往取决于植被指数是否选取得当,为得到最佳的反演结果需要综合利用各种植被指数[32 ] ,最终优选出的PVI、NDVI等植被指数可较好地提高互花米草AGB模型估算精度. ...
Spectroscopic determination of leaf biochemistry using band-depth analysis of absorption features and stepwise multiple linear regression
1
1999
... 不同光谱通道所获取的遥感信息与植被的不同生长状态的相关性存在一定程度的差异,不同植被指数对AGB建立模型的精度有所影响[28 ] .以往研究表明,红边和近红外波段可有效估计植被AGB[29 ] ,根据红边和近红外波段计算的植被指数可以最大限度地减少大气和水吸收以及土壤背景的影响[28 ] .互花米草的生长环境特殊,构建的植被指数对日照时长、水淹程度响应不同,从而依据植被指数构建的互花米草AGB模型精度会受影响[30 -31 ] .红边和近红外波段等不同组合形式的植被指数对于估算不同生长阶段的互花米草AGB是切实有效的,并且可用于估计互花米草整个生长季的AGB估算.但是针对不同湿地的特殊环境条件和植物类型特征,反演互花米草AGB的精度往往取决于植被指数是否选取得当,为得到最佳的反演结果需要综合利用各种植被指数[32 ] ,最终优选出的PVI、NDVI等植被指数可较好地提高互花米草AGB模型估算精度. ...
Variable reproductive output among clones of Spartina alterniflora (Poaceae) invading San Francisco Bay,California:The influence of herbivory, pollination, and establishment site
1
1994
... 不同光谱通道所获取的遥感信息与植被的不同生长状态的相关性存在一定程度的差异,不同植被指数对AGB建立模型的精度有所影响[28 ] .以往研究表明,红边和近红外波段可有效估计植被AGB[29 ] ,根据红边和近红外波段计算的植被指数可以最大限度地减少大气和水吸收以及土壤背景的影响[28 ] .互花米草的生长环境特殊,构建的植被指数对日照时长、水淹程度响应不同,从而依据植被指数构建的互花米草AGB模型精度会受影响[30 -31 ] .红边和近红外波段等不同组合形式的植被指数对于估算不同生长阶段的互花米草AGB是切实有效的,并且可用于估计互花米草整个生长季的AGB估算.但是针对不同湿地的特殊环境条件和植物类型特征,反演互花米草AGB的精度往往取决于植被指数是否选取得当,为得到最佳的反演结果需要综合利用各种植被指数[32 ] ,最终优选出的PVI、NDVI等植被指数可较好地提高互花米草AGB模型估算精度. ...
Study on biomass dynamics of Phragmites australis and Spartina alterniflora in the wetlands of Minjiang River estuary
1
2008
... 不同光谱通道所获取的遥感信息与植被的不同生长状态的相关性存在一定程度的差异,不同植被指数对AGB建立模型的精度有所影响[28 ] .以往研究表明,红边和近红外波段可有效估计植被AGB[29 ] ,根据红边和近红外波段计算的植被指数可以最大限度地减少大气和水吸收以及土壤背景的影响[28 ] .互花米草的生长环境特殊,构建的植被指数对日照时长、水淹程度响应不同,从而依据植被指数构建的互花米草AGB模型精度会受影响[30 -31 ] .红边和近红外波段等不同组合形式的植被指数对于估算不同生长阶段的互花米草AGB是切实有效的,并且可用于估计互花米草整个生长季的AGB估算.但是针对不同湿地的特殊环境条件和植物类型特征,反演互花米草AGB的精度往往取决于植被指数是否选取得当,为得到最佳的反演结果需要综合利用各种植被指数[32 ] ,最终优选出的PVI、NDVI等植被指数可较好地提高互花米草AGB模型估算精度. ...
基于多源遥感数据的湿地植物分类和生物量反演研究进展
1
2017
... 本研究中多元线性回归模型精度明显优于利用29个变量进行的单变量回归模型,而多尺度地理加权回归引入数据的地理位置,减少空间效应的影响,在多元线性回归的基础上可进一步提升模型精度.利用偏最小二乘回归方法分别以VIs+Bands估算地上生物量的建模集和验证集的R 2 相较于多元线性回归和多尺度地理加权回归较高,而RMSE和MAE较低,表明模型拟合效果较好,稳定性较强,能最大限度地减少变量间的共线性,其模型的建模和验证精度高于其他3种模型.因此,偏最小二乘回归可有效解决多重复共线性问题,用来估计多个响应变量并同时考虑多重共线性变量[33 -34 ] ,有效提取最优变量,是提高互花米草地上生物量估算精度的重要手段. ...
基于多源遥感数据的湿地植物分类和生物量反演研究进展
1
2017
... 本研究中多元线性回归模型精度明显优于利用29个变量进行的单变量回归模型,而多尺度地理加权回归引入数据的地理位置,减少空间效应的影响,在多元线性回归的基础上可进一步提升模型精度.利用偏最小二乘回归方法分别以VIs+Bands估算地上生物量的建模集和验证集的R 2 相较于多元线性回归和多尺度地理加权回归较高,而RMSE和MAE较低,表明模型拟合效果较好,稳定性较强,能最大限度地减少变量间的共线性,其模型的建模和验证精度高于其他3种模型.因此,偏最小二乘回归可有效解决多重复共线性问题,用来估计多个响应变量并同时考虑多重共线性变量[33 -34 ] ,有效提取最优变量,是提高互花米草地上生物量估算精度的重要手段. ...
Estimation of maize residue cover using Landsat-8 OLI image spectral information and textural features
1
2015
... 本研究中多元线性回归模型精度明显优于利用29个变量进行的单变量回归模型,而多尺度地理加权回归引入数据的地理位置,减少空间效应的影响,在多元线性回归的基础上可进一步提升模型精度.利用偏最小二乘回归方法分别以VIs+Bands估算地上生物量的建模集和验证集的R 2 相较于多元线性回归和多尺度地理加权回归较高,而RMSE和MAE较低,表明模型拟合效果较好,稳定性较强,能最大限度地减少变量间的共线性,其模型的建模和验证精度高于其他3种模型.因此,偏最小二乘回归可有效解决多重复共线性问题,用来估计多个响应变量并同时考虑多重共线性变量[33 -34 ] ,有效提取最优变量,是提高互花米草地上生物量估算精度的重要手段. ...
浙江滨海湿地互花米草生长性状对土壤化学因子的响应
1
2020
... 本研究估算浙江滨海湿地互花米草AGB主要集中在4 500~6 000 g/m2 ,与陆琳莹[22 ] 野外实测和利用回归方法估算结果相近.互花米草AGB空间异质性可能与其所处不同入侵阶段或人为活动干扰强度有关.互花米草最早于1983年在乐清湾内玉环县引种[35 ] ,其互花米草面积分布较广且AGB总量最高.浙江沿海地区气温受纬度影响由南向北递减,降水量平均值呈现由东南向西北递减的空间分布格局,气候差异在一定程度上导致了互花米草AGB在空间上呈南高北低的分布格局;不同地区河口海湾自然条件、泥滩分布状况、入海河网密度、土壤养分差异,以及互花米草自身抗低氧胁迫能力、生命活动规律等受水淹时长和深度不同,均可影响互花米草的长势[1 ,36 -37 ] ;另外,人类活动如围垦开荒、工业废水、道路修建等,在一定程度上也影响互花米草生物量等生长特征,而不同地区人为活动的干扰程度不同亦可引起互花米草长势及AGB的空间差异. ...
浙江滨海湿地互花米草生长性状对土壤化学因子的响应
1
2020
... 本研究估算浙江滨海湿地互花米草AGB主要集中在4 500~6 000 g/m2 ,与陆琳莹[22 ] 野外实测和利用回归方法估算结果相近.互花米草AGB空间异质性可能与其所处不同入侵阶段或人为活动干扰强度有关.互花米草最早于1983年在乐清湾内玉环县引种[35 ] ,其互花米草面积分布较广且AGB总量最高.浙江沿海地区气温受纬度影响由南向北递减,降水量平均值呈现由东南向西北递减的空间分布格局,气候差异在一定程度上导致了互花米草AGB在空间上呈南高北低的分布格局;不同地区河口海湾自然条件、泥滩分布状况、入海河网密度、土壤养分差异,以及互花米草自身抗低氧胁迫能力、生命活动规律等受水淹时长和深度不同,均可影响互花米草的长势[1 ,36 -37 ] ;另外,人类活动如围垦开荒、工业废水、道路修建等,在一定程度上也影响互花米草生物量等生长特征,而不同地区人为活动的干扰程度不同亦可引起互花米草长势及AGB的空间差异. ...
Facilitation of cobble beach plant communities through habitat modification by Spartina alterniflora
1
2000
... 本研究估算浙江滨海湿地互花米草AGB主要集中在4 500~6 000 g/m2 ,与陆琳莹[22 ] 野外实测和利用回归方法估算结果相近.互花米草AGB空间异质性可能与其所处不同入侵阶段或人为活动干扰强度有关.互花米草最早于1983年在乐清湾内玉环县引种[35 ] ,其互花米草面积分布较广且AGB总量最高.浙江沿海地区气温受纬度影响由南向北递减,降水量平均值呈现由东南向西北递减的空间分布格局,气候差异在一定程度上导致了互花米草AGB在空间上呈南高北低的分布格局;不同地区河口海湾自然条件、泥滩分布状况、入海河网密度、土壤养分差异,以及互花米草自身抗低氧胁迫能力、生命活动规律等受水淹时长和深度不同,均可影响互花米草的长势[1 ,36 -37 ] ;另外,人类活动如围垦开荒、工业废水、道路修建等,在一定程度上也影响互花米草生物量等生长特征,而不同地区人为活动的干扰程度不同亦可引起互花米草长势及AGB的空间差异. ...
中国滨海湿地互花米草生物量时空差异的综述
1
2023
... 本研究估算浙江滨海湿地互花米草AGB主要集中在4 500~6 000 g/m2 ,与陆琳莹[22 ] 野外实测和利用回归方法估算结果相近.互花米草AGB空间异质性可能与其所处不同入侵阶段或人为活动干扰强度有关.互花米草最早于1983年在乐清湾内玉环县引种[35 ] ,其互花米草面积分布较广且AGB总量最高.浙江沿海地区气温受纬度影响由南向北递减,降水量平均值呈现由东南向西北递减的空间分布格局,气候差异在一定程度上导致了互花米草AGB在空间上呈南高北低的分布格局;不同地区河口海湾自然条件、泥滩分布状况、入海河网密度、土壤养分差异,以及互花米草自身抗低氧胁迫能力、生命活动规律等受水淹时长和深度不同,均可影响互花米草的长势[1 ,36 -37 ] ;另外,人类活动如围垦开荒、工业废水、道路修建等,在一定程度上也影响互花米草生物量等生长特征,而不同地区人为活动的干扰程度不同亦可引起互花米草长势及AGB的空间差异. ...
中国滨海湿地互花米草生物量时空差异的综述
1
2023
... 本研究估算浙江滨海湿地互花米草AGB主要集中在4 500~6 000 g/m2 ,与陆琳莹[22 ] 野外实测和利用回归方法估算结果相近.互花米草AGB空间异质性可能与其所处不同入侵阶段或人为活动干扰强度有关.互花米草最早于1983年在乐清湾内玉环县引种[35 ] ,其互花米草面积分布较广且AGB总量最高.浙江沿海地区气温受纬度影响由南向北递减,降水量平均值呈现由东南向西北递减的空间分布格局,气候差异在一定程度上导致了互花米草AGB在空间上呈南高北低的分布格局;不同地区河口海湾自然条件、泥滩分布状况、入海河网密度、土壤养分差异,以及互花米草自身抗低氧胁迫能力、生命活动规律等受水淹时长和深度不同,均可影响互花米草的长势[1 ,36 -37 ] ;另外,人类活动如围垦开荒、工业废水、道路修建等,在一定程度上也影响互花米草生物量等生长特征,而不同地区人为活动的干扰程度不同亦可引起互花米草长势及AGB的空间差异. ...