基于GF6-WFV数据的中国东部典型湖库叶绿素a浓度反演 |
| 卜博,张方方,李俊生,王胜蕾,李景宜,谢娅,王超,桑瑞丹,田彬 |
|
Chlorophyll-a Concentration Inversion based on GF6-WFV Data in a Typical Lake Reservoir in Eastern China |
| BU Bo,Fangfang ZHANG,Junsheng LI,Shenglei WANG,Jingyi LI,Ya XIE,Chao WANG,Ruidan SANG,Bin TIAN |
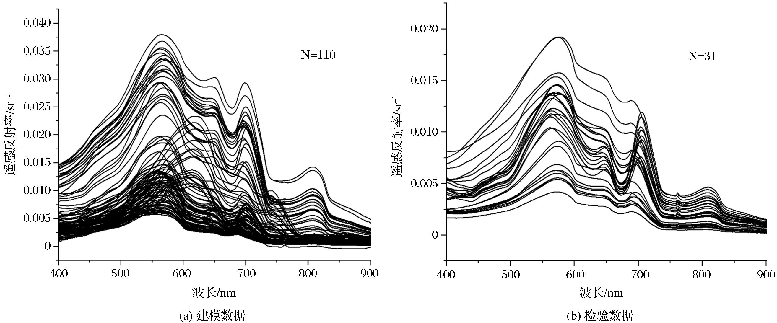
| 图2 实测光谱曲线图 |
| Fig.2 In-situ measured spectral graph |
|