基于无人机高光谱遥感的典型草原退化指示种识别
乌尼乐 , 1 , 2 , 包玉龙 , 1 , 2 , 布仁图雅 3 , 图布新巴雅尔 1 , 2 , 陶赛喜雅拉图 3 , 包玉海 1 , 2 , 金额尔德木吐 1 , 2
1.内蒙古师范大学 地理科学学院,内蒙古 呼和浩特 010022
2.内蒙古自治区遥感与地理信息系统重点实验室,内蒙古 呼和浩特 010022
3.内蒙古自治区环境监测总站,内蒙古 呼和浩特 010011
Identification of Typical Grassland Degradation Indicator Species based on UAV Hyperspectral Remote Sensing
WU Nile , 1 , 2 , BAO Yulong , 1 , 2 , BU Rentuya 3 , TU Buxinbayaer 1 , 2 , TAO Saixiyalatu 3 , BAO Yuhai 1 , 2 , JIN Eerdemutu 1 , 2
1.School of Geographical Sciences,Inner Mongolia Normal University,Hohhot 010022,China
2.Inner Mongolia Autonomous Region Key Laboratory of Remote Sensing and Geographic Information System,Hohhot 010022,China
3.Environmental Monitoring Station of Inner Mongolia Autonomous Region,Hohhot 010011,China
通讯作者: 包玉龙,副教授,研究生导师,主要从事为灾害与环境评估研究。E⁃mail:baoyulong@imnu.edu.cn
收稿日期: 2022-08-29
修回日期: 2023-11-06
基金资助:
内蒙古自治区科技重大专项课题 . 2021ZD004503 内蒙古自治区哲学社会科学规划项目 . 2022NDA225 内蒙古自然科学基金面上项目 . 2021MS04016 内蒙古自治区重点研发与成果转化计划项目 . 2022YFSH0070 国家自然科学基金地区项目 . 42261019
Received: 2022-08-29
Revised: 2023-11-06
摘要
利用无人机高光谱遥感数据技术快速、准确地提取典型草原植被类型,对动态监测草原生态安全具有重要的意义。为此,在退化较严重的白音锡勒牧场典型草原区,采集了空间分辨率为1.8 cm、光谱分辨率为4 nm,共有125个波段(450~950 nm)的高光谱影像。选主要退化指示种—冷蒿为识别目标,经微分变换和包络线去除等光谱变换处理,进行光谱特征差异分析发现冷蒿与其他绿色植被和背景土壤在500、550、670 nm处有明显的光谱差异,因此选择以上3个波段作为特征波段,构建了支持向量机(SVM)和随机森林(RF)的退化指示物种识别模型,并进行了精度验证。结果显示:SVM和RF的识别精度分别为96.92%和97.34%,Kappa系数分别为0.95和0.96。从结果可知,随机森林模型的识别精度更高,退化指示种的像元空间分布更接近自然状况,可以为监测典型草原退化指示种提供技术支持。
关键词:
无人机
;
高光谱遥感
;
典型草原
;
退化指示种
Abstract
The use of UAV hyperspectral remote sensing data technology to quickly and accurately extract typical grassland vegetation types is of great significance for dynamic monitoring of grassland ecological security.In the typical grassland area of Baiyinxile pasture with severe degradation, hyperspectral images with a spatial resolution of 1.8 cm and a spectral resolution of 4 nm, with a total of 125 bands (450 nm to 950 nm) were collected. The main degradation indicator species, Artemisia cholerae, was selected as the identification target, and after differential transformation, envelope removaland other spectral transformations, the differences in spectral characteristics were analyzed. There are obvious spectral differences at 500 nm、550 nm、670 nm, so the above three bands were selected as characteristic bands, and the degradation indicator species identification model of Support Vector Machine (SVM) and Random Forest (RF) was constructed, and the accuracy was verified. The results show that the recognition accuracy of SVM and RF are 96.92%和97.34%, respectively, and the Kappa coefficients are 0.95 and 0.96, respectively. It can be seen from the results that the identification accuracy of the random forest model is higher, and the pixel spatial distribution of degraded indicator species is closer to the natural state, which can provide technical support for monitoring typical grassland degradation indicator species.
Keywords:
UAV
;
Hyperspectral remote sensing
;
Typical grassland
;
Degenerative indicator species
本文引用格式
乌尼乐, 包玉龙, 布仁图雅, 图布新巴雅尔, 陶赛喜雅拉图, 包玉海, 金额尔德木吐. 基于无人机高光谱遥感的典型草原退化指示种识别 . 遥感技术与应用 [J], 2024, 39(1): 248-258 doi:10.11873/j.issn.1004-0323.2024.1.0248
WU Nile, BAO Yulong, BU Rentuya, TU Buxinbayaer, TAO Saixiyalatu, BAO Yuhai, JIN Eerdemutu. Identification of Typical Grassland Degradation Indicator Species based on UAV Hyperspectral Remote Sensing . Remote Sensing Technology and Application [J], 2024, 39(1): 248-258 doi:10.11873/j.issn.1004-0323.2024.1.0248
1 引 言
草原是我国面积最大的陆地生态系统,内蒙古草原是我国北方草原的主体,也是北方重要的生态安全屏障[1 ] 。根据国家环保局统计,草原退化日益加剧,90%以上的草原处于不同程度退化之中,其中内蒙古退化草原面积已占全区草原面积的31.77%[2 ] 。近年来,由于气候变化、高强度放牧、鼠害等多种因素的影响下,植被覆盖度和植被种类减少,草原退化情况日益加剧,退化指示种变优势物种,种类和数量呈增长趋势[3 -4 ] 。因此,准确、快速地监测退化指示种研究对草原生态保护具有重要意义。
目前,草原退化方面研究主要利用单期或者多期的遥感影像,获取NDVI、NPP等参数的变化及植被覆盖度的分布情况,进行退化等级划分,分析草地退化的现状或动态变化特征,研究草原退化情况[5 ] 。其中,遥感技术在草原生物量评估、植被覆盖度、大面积的环境和灾害监测、土地覆盖的分类等方面被广泛应用。但卫星遥感数据受空间分辨率和光谱分辨率的限制,仅能实现植被群落或植被类型级别的监测,但在微小尺度的植物、作物的精细分类等方面存在不足[6 ] 。而无人机高光谱遥感具有较高的空间分辨率和光谱分辨率,能够灵活快速获取图像、成本低、操作灵活等特征,弥补了卫星遥感在草原种群精细识别与分类方面的缺陷[7 -8 ] 。因此,无人机遥感已被广泛应用于高精度农业监测、资源调查、环境变化监测、草原退化监测等多个领域[9 ] 。
在草原监测方面,无人机遥感主要应用在草原生物量估算、覆盖度反演和草原退化物种识别等方面[10 ] 。在草原退化研究中,主要采用无人机搭载普通相机、多光谱、高光谱等传感器获取正射影像或倾斜影像,结合机器学习方法开展了一系列研究[11 -15 ] 。其中,杨红艳等[11 ] 利用高光谱影像,及随机森林(RF)、支持向量机(SVM)、K-最近邻(KNN)和最大似然分类(MLC)等模型对荒漠草原植被类型分类研究,结果表明,RF模型总体分类精度达到91.06%。那木拉等[14 ] 也利用无人机多光谱影像和SVM模型分析了荒漠草原短花针茅,精度达到90.08%。张富华等[15 ] 也利用锡林郭勒草原高光谱影像,运用神经网络分类了4种典型草种,精度达到了80.3%。张冠宏等[16 ] 以无人机影像和数字表面模型为数据源,采用RF算法对古尔班通古特沙漠的荒漠植被进行了分类,获得了较高的分类精度。刘斌等[17 ] 利用无人机遥感可见光影像和SVM模型对农作物进行精细分类,精度达到92.30%。
综上所述,近年来无人机高光谱遥感和机器学习法被广泛应用在植物种类识别研究中,其中,RF和SVM模型分类精度较高。为此,实验以锡林郭勒盟白音锡勒典型草原的退化指示种(冷蒿)为研究对象,通过微分变换和包络线去除方法对植被光谱进行光谱特征差异分析,选择特征波段。在此基础上,采用支持向量机(Support Vector Machine, SVM)和随机森林(Random Forest, RF)算法进行退化指示种的识别研究。通过运用混淆矩阵对识别结果进行精度验证,对比分析各模型的分类结果和适用性,选出识别退化指示种最佳的机器学习模型,为业务化的草原退化物种精细识别提供技术支撑。
2 数据与方法
2.1 无人机飞行实验设计
实验区位于锡林浩特市郊南52 km处,内蒙古锡林郭勒盟典型草原中的白音锡勒牧场,地理位置坐标116°21′7″~116°21′16″ E,43°42′49″~43°42′42″ N,平均海拔高度为1 266 m,面积为200×200 m2 (如图1 所示)。该地区属于中温带大陆性气候,年平均降水在350~450 mm之间。该地区的植被一类是大针茅(Stipa grandis)、克氏针茅(S.krylovii)和蒿类(Artemisia commutate,A.frigida)为主,另一类是羊草(Leymus chinensis)、小禾草(Koeleria cristata)为主的群落[18 ] 。实验所选取的实验区处于高放牧状态下,致使该地区为典型草原退化较为严重的地区。在过度放牧、践踏下,耐践踏的植被成为优势群落,冷蒿(Artemisia frigida)成为实验区内的退化指示种[19 ] 。
图1
图1
研究区的地理位置
审图号GS(2022)4312
Fig.1
Geographical location of the study area
本实验中使用S185机载高速成像仪采集高光谱数据,该成像光谱仪由德国 Cubert 公司生产,该成像仪的光谱范围为450~950 nm,光谱分辨率为8 nm,光谱采样间隔为4 nm,通道数为125。地面分辨率可达5 cm,空间分辨率为1.8 cm。将该成像仪稳固安装到深圳大疆技术有限公司的M300RTK专业级无人机,云台的臂杆上固定安装Mini_PC微型控制器。无人机飞控系统与增稳云台的陀螺仪相互通讯,无人机飞行中当出现倾斜偏移是增稳云台电机转速变化补偿,确保在航拍数据采集过程中,高光谱成像仪的镜头始终垂直向下,如图2 所示。本次高光谱数据采集方案共规划10条航带,旁向重叠率设置为80%、横向重叠率为75%,飞行高度50 m,速度5 m/s。
图2
图2
无人机和高光谱遥感图像采集系统
Fig.2
UAV and hyperspectral remote sensing image acquisition systems
现场调查数据与无人机高光谱数据同时采集。实验区设置了40个样方,样方面积为1 m×1 m,按20 m的间隔4×10的行列式均匀分布,实验人员在每个绿色A4纸标签的东侧居中放置一个1 m×1 m的样方框,样方的类别由样方框内大于70%的草种类来定,其他30% 混杂的草为其他绿色植被。使用佳能80D相机,在样方中心的上方垂直向地面正射,实现照片涵盖样方的范围,并记录样方坐标信息、样方植被覆盖度和植被组成(如图3 )。野外调查和无人机高光谱数据采集同时开展,野外调查样方作为无人机采集图像物种识别分类结果验证的真值。
图3
图3
研究区植被照片及地面数据采集现场照片
Fig.3
Vegetation photos of the study area and ground data collection site photos
2.2 高光谱数据采集与预处理
2.2.1 数据采集
高谱数据外业采集时间为2021年8月21日~23日,采集地在内蒙古锡林浩特市白音锡勒牧场,在天气晴朗、无云无风时进行,观测时间为10:00~14:00,以保证采集的图像在近似统一的光照条件下获取。为了达到精确的分辨植被的种类,飞行之前进行标准白板辐射校正和黑板校正获取正确的曝光值,之后在设置暗电流校正,通过以上两部操作完成设备辐射校正。采集图像的过程中,无人机按预先规划的航线飞行。飞行结束后,影像质量检查结果无法满足实验需求时,应定为不合格影像数据,在实验区部分区域的补飞或者重新飞行,以此获得可靠性高质量的高光谱影像数据也能保证整个实验数据的准确性。
2.2.2 数据预处理
飞行后获取的数据进行预处理。预处理前,首先,需要删除与实验区无关的照片,减少后期的不必要的数据处理[20 ] 。本次影像的辐射校正采用S185 高光谱成像仪自带的Cube-pilot应用程序。使用Photoscan图像拼接软件完成整个区域的图像拼接,然后,在Agisoft PhotoScan Professional软件中生成DEM和DOM文件,最后导出实验区的完整图像。由于在图像的生成和传输中,因仪器自身的因素和受到不同噪声的影响,高光谱数据携带大量噪声,导致信息产生失真,图像质量下降并影响结果。因此,获取的高光谱数据需要在ENVI5.3中运用Savitzky-Golay算法对高光谱影像进行平滑降噪处理。经过滤波后,图像会更清晰,光谱曲线会更平滑,并能保留原始光谱信息[21 ] 。图4 是平滑降噪前与平滑降噪后的反射率曲线的对比图。
图4
图4
原始光谱曲线与平滑降噪后的光谱曲线对比图
Fig.4
Comparison of the original spectral curve and the spectral curve after smoothing noise reduction
2.3 研究方法
2.3.1 光谱特征分析法
预处理之后进行光谱变换,以便提取有用的信息,为后续的光谱信息分析提供信息源。实验用的光谱变换方法主要有: 一阶微分、二阶微分和包络线去除等方法。
对初始光谱数据进行微分变换、包络线去除等处理后,将光谱曲线斜率的细微变化进一步放大化,波形变得更清晰,有利于与其他光谱曲线进行特征数值的比较[22 ] ,增强真实反映目标物信息的光谱特征,实现光谱特征差异分析。
实验数据具有125个波段,但并非所有的波段对退化指示种都敏感,通过光谱特征差异分析,从原始波段中选择相关性小、信息量大、有效代表地物特征的波段,将这些波段作为最佳特征波段组合。这也可以使数据达到降维效果,降低识别分类模型的计算复杂度。
2.3.2 分类识别方法
实验中分别采用支持向量机(Support Vector Machine, SVM)和随机森林(Random Forest, RF)这两种模型对退化指示种进行分类识别,并对分类精度进行综合评价与比较分析。
随机森林(Random Forest, RF)是一种集成分类器,它使用随机选择的训练样本子集和变量产生多个决策树[23 ] 。通过集成学习的思想,将多棵决策树进行集成的算法。它的基本单元是决策树,每棵决策树都是一个分类器,N棵树会有N个分类结果。按决策树分类器的投票决定最终随机森林的分类结果。实验共采集了1 500个样本,构建模型时从中随机选择了2/3来创建森林中的每棵决策树,其他参数是基于分类算法评价指标,选择精度最高所对应的参数。为此,将决策树的数量设置为1 000,最大树数设置为50,最大树深为30[24 ] 。支持向量机(Support Vector Machines, SVM)分类器是一种监督分类方法,是建立在统计学习理论基础之上的新一代机器学习算法[25 ] 。另外,构造出一个具有良好性能的SVM,核函数的选择是关键,会影响到SVM的分类效果,常用的核函数有线性核(linear)、多项式核(polynomial)、Sigmoid核和径向基核(radial basis function)等4种函数。多项式核函数可通过主观设置幂数来实现总结的预判,使得原本线性不可分的数据线性可分,将解决非线性数据集的分类问题[26 ] 。研究使用的数据是高维数据并且样本少,核函数的引入避免了“维数灾难”,大大减小了计算量,也可以有效的处理高维输入。创建模型时,采用了同一组训练样本构建了分类模型。
2.3.3 退化程度评价法
根据国标《天然草地退化、沙化、盐渍化的分级指标》[27 ] 中的退化程度分级指标(如表1 )对此实验区的现状进行退化程度的评价。
选取景观格局指数法中的景观聚集度指数AI[28 ] 和分离度指数SPLIT[29 ] 对退化指示物种和其他覆盖类型的聚集程度和离散程度进行评价,聚集度指数AI计算公式如式(1)和式(2)所示。
A I = 1 + ∑ i = 1 n ∑ j = 1 n P i j l n ( P i j ) 2 l n ( n ) (1)
P i j = P i P j / i , P j / i = m i j m i (2)
其中:n为景观中斑块类型总数,n的取值为5;P i j 为斑块类型i与j相邻的概率;P i =为景观类型i所占景观的比例;为在给定斑块类型i的情况下,斑块类型j与其相邻的条件概率;m i j 为景观栅格网中斑块i和j相邻的边数;m i 为斑块类型i的总边数。
S P L I T = A 2 ∑ j = 1 n a i j 2 (3)
其中:SPLIT表示离散度指数A表示景观总面积(m2 );a i j 表示第i 种斑块类型的第j 块斑块的面积(m2 )。
AI表示反映景观中不同斑块类型的聚集程度,数值越大表示景观内斑块越集中;SPLIT表示反映斑块的破碎程度。
3 退化指示种识别与结果分析
3.1 识别目标波段特征分析
通过野外调查和现场样方照片可知,该实验区的植被主要为冷蒿,其他植被数量较少并且类型较多,混杂生长,难以获取单一物种植被的实地光谱信息。因此,将把实验区的地物分为3类,分别为裸土、冷蒿、其他绿色植被。
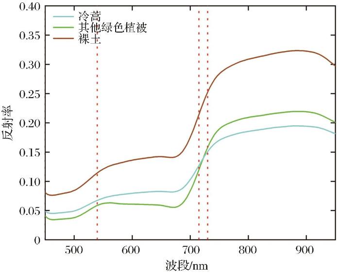
首先,使用ArcGIS Pro的训练样本管理器选择每个分类对象的训练样本数据;其次,在Envi5.3里提取了每个对象数据的平均光谱曲线,得到地物的真实的反射率数据;实测光谱曲线如图5 所示。
图5
图5
实测反射光谱曲线
Fig.5
Measured reflection spectral curve
由图5 可知,在450~540 nm范围内植被的光谱特征差异并不是很明显,在715~730 nm范围内冷蒿与其他绿色植被的光谱曲线有混淆现象。
由于存在光谱曲线的混线问题及难以分辨植被类型的问题。因此,通过原始光谱曲线进行微分变换和包络线去除变换(如图6 和图7 所示),放大植被波段之间的差异,减少植被之间的光谱曲线的混淆现象。
图6
图6
微分变换曲线图
Fig.6
Differential transformation curve diagram
图7
图7
包络线去除变换光谱曲线
Fig.7
Envelope removal transform spectrum curve
由图6 可知,原始光谱曲线进行离散变量差分方程后,依然存在植被的光谱曲线的混淆的现象。故进一步包络线去除变换(图7 )后,位于500 nm处的吸收谷,550 nm处的反射峰、670 nm处的吸收谷,其他绿色植被和冷蒿的光谱曲线有明显的差异。
为了能够有效地选择地物特征波段,进一步计算光谱反射率数据均值和标准差值,绘制了标准差的误差棒图,如图8 所示。
图8
图8
训练样本光谱特征曲线和标准差
Fig.8
Spectral characteristic curves and standard deviations of training samples
由图8 可知,在波段700~950 nm范围内,两类植被的光谱反射率的标准差值重叠的,不参与植被识别中,故剔除重叠部分,以利于选出识别退化指示种的特征波段。
经微分变换、包络线去除和计算标准差处理后,发现在500、550、670 nm处有明显的差异,此3个波段满足了所选的波段信息具有较大的光谱差异的条件,故选取此3个波段作为特征波段并进行特征波段组合。特征波段组合数据对细小地物的纹理结构和图像的色彩差别增强,对退化指示种的识别成为可能。因此,在特征波段组合数据基础上,进行了模型的构建。
3.2 构建识别模型与验证
基于ArcGIS Pro软件上,特征波段组合数据为底图,结合实地调查数据,随机均匀的选取训练样本,如图9 所示。在此基础上,采用随机森林和支持向量机作为分类器,选择合适的模型参数,对所选择的训练样本进行模型训练并分类,2种模型的分类结果如图10 所示。
图9
图9
训练样本分布图
Fig.9
Training sample distribution plot
图10
图10
支持向量机和随机森林分类结果
Fig.10
Support Vector Machines and Random Forest classification results
为了准确描述2种机器学习模型的分类精度,本实验采用混淆矩阵对独立验证样本的分类准确率进行评估[30 -31 ] 。通过混淆矩阵得到分类影像的Kappa系数、生产者的精度、用户的精度和整体精度等评估指标,以量化2种模型的性能对分类准确率的贡献[32 -33 ] 。本实验中验证样本一共选取了600个,与训练样本的比例为5∶3,对2种模型的性能进行评估,结果如表2 和表3 所示。
从支持向量机的混淆矩阵结果(如表2 所示)可知,总体精度为96.92%,Kappa系数为0.95,分类中出现了冷蒿错分为裸土的有6个、其他绿色植被的有19个、裸土错分为冷蒿的有5个、其他绿色植被错分为冷蒿的有7个。因为裸土和其他绿色植被的光谱特征比较明显的差异,所以错分的现象不是很明显。
从随机森林的混淆矩阵结果(如表3 所示),得到的结果可以看出,总体精度为97.34%,Kappa系数为0.96。冷蒿和其他绿色植被之间错分数量有16例,这可能是因为选取训练样本时冷蒿与其他绿色植被之间混淆的现象。
通过对2种分类方法的精度评价结果表明,随机森林的分类精度总体优于支持向量机的分类精度。故随机森林的识别分类效果更佳。
3.3 退化程度的评价分析
对分类识别结果进行像元统计计算,从结果(如表4 )可知,冷蒿的面积占研究区的56.8%,其他绿色植被占39.5%。退化指示种的覆盖度达到了56.8%,从草地退化程度指标看,本实验区现状属于重度退化草地。
为了准确表述退化指示物种和其他覆盖类型的聚集程度,为此,利用景观聚集度指数AI和分离度指数SPLIT对分别表征退化指示物种和其他覆盖类型的聚集和分离程度,其值越小,越紧凑。通过计算SPLIT指数和AI指数(如表5 所示)可知,随机森林的SPLIT指数为3.729 4,破碎度较强,支持向量机的AI指数为95.071 3,聚集程度较强。总体看,支持向量机的分类结果比较聚集,随机森林的分类结果较离散。
4 结 语
本文对典型草原地物的光谱分析发现,裸土光谱曲线呈现吸收谷,这是由于研究区的裸土并不是完全没有植被的,故裸土光谱波段具有吸收谷。退化指示物种和其他绿色植被在可见光波段均表现为“低-高-低”的光谱反射率趋势,具有典型的植被光谱特征。这与杨红艳等[3 ,10 ] 和张锡鹏等[2 ] 对荒漠草原植被光谱反射率趋势一致。
由于高光谱数据波段数较多,会造成不必要的运算。因此,本研究使用包络线去除和一阶微分变换等运算,对各地物间光谱特性的差异分析,选取差异波段进行了波段组合。冯双双等[19 ] 利用相同的方法对坝上草原主要优势种和退化指示种的光谱曲线进行了处理并提取了多种特征参数,找到了退化指示种识别的有效方法。而郝芳芳等[34 ] 对3种退化指示种和2种优势物种光谱反射曲线进行对数变换处理,采用均值置信区间对原始光谱和变换处理后的对数光谱进行波段选择,提取了退化指示种的光谱特性,并利用Manhattan距离对所选择的波段进行识别检验。各学者所筛选的特征波段各有不同。因此,对不同的识别对象需要进行专一性的特征筛选[35 ] 。
本文主要对比分析了传统的支持向量机和随机森林分类方法对典型草原退化指示物种识别的有效性。结果表明随机森林的分类结果表现优于支持向量机模型,这与杨红艳的实验结果一致。杨红艳等[11 ] 研究发现随机森林模型在30 m的飞行高度可以较好地识别植被种类,随着飞行高度的增加,地物的空间分辨率和反射率降低,使识别较小的植被会有所难度。但本研究由于在50 m的飞行高度,利用随机森林方法对典型草原植物进行分类并获了较高的识别精度,证明了50 m的飞行高度,在识别植被方面研究中具有一定的可行性。研究结果精度相对较高的原因之一,是因为数据采集的时间是在8月份,这正是草原植物的生长旺盛期,光谱特征更加的明显,更有利于对草原物种的信息提取。
在分类器的选择中支持向量机的优点是小样本、结构风险最小化、具有更强的泛化能力,随机森林的优点是处理高维数据、训练速度快、实现比较简单。从分类结果上看是对退化指示物种的识别较好的分类器选择。支持向量机虽然比随机森林训练时间更短,训练参数更少,但是,该研究中支持持向量机相比随机森林的识别准确率较低,这说明随机森林模型更适合本研究并具有一定的可行性。具体结果如下所述:
(1)支持向量机和随机森林的分类整体准确率分别为96.92%和97.34%,Kappa系数值分别为0.953 7和0.960 0。随机森林效果为优。
(2)支持向量机的AI指数为95.071 3,聚集程度较强,分类结果为聚集。随机森林的SPLIT指数为3.729 4,破碎度较强,分类结果为分散,更贴切于实际。
(3)本实验中退化指示植物的面积占研究区的56.8%,超过重度退化指标,实验区现状属于重度退化草地。
本文所进行识别的地物类型较少,在今后的研究中,会扩大地域范围、增加植被类型、将实验区的植被更进一步精确分类;另外,选取的识别方法仅有随机森林与支持向量机两种,在下一步的研究中应选择更多的分类方法进行对比,这也是未来研究发展的方向。
参考文献
View Option
[1]
WANG Yiqun . Research on ecological protection and construction of grassland in Inner Mongolia
[J]. Modern Agriculture , 2019 (6 ):85 -86 .
[本文引用: 1]
王轶群 .内蒙古草原生态保护与建设的研究
[J].现代农业 ,2019 (6 ):85 -86 .
[本文引用: 1]
[2]
ZHANG Xipeng , BI Yuge , YANG Hongyan , et al . Research on the classification model of desertification grassland grass species based on hyperspetctral remote sensing
[J].Optical Technology ,2020 ,46 (4 ):483 -488 .
[本文引用: 2]
张锡鹏 ,毕玉革 ,杨红艳 ,等 .基于高光谱遥感的荒漠化草原草种类分类模型研究
[J].光学技术 ,2020 ,46 (4 ):483 -488 .
[本文引用: 2]
[3]
YANG Hongyan , DU Jianmin , WANG Yuan , et al . Grassland species classification method based on UAV remote sensing and convolutional neuralnetwork
[J]. Journal of Agricultural Machinery , 2019 ,50 (4 ):188 -195 .
[本文引用: 2]
杨红艳 ,杜健民 ,王圆 ,等 .基于无人机遥感与卷积神经网络的草原物种分类方法
[J].农业机械学报 ,2019 ,50 (4 ):188 -195 .
[本文引用: 2]
[4]
GUO Lizhu , ZHAO Huan , Jinying LÜ , et al . Population structure and quantitative dynamics of degraded typical steppe wolf venom
[J].Chinese Journal of Applied Ecology ,2020 ,31 (9 ):2977 -2984 .
[本文引用: 1]
郭丽珠 ,赵欢 ,吕进英 ,等 .退化典型草原狼毒种群结构与数量动态
[J].应用生态学报 ,2020 ,31 (9 ):2977 -2984 .
[本文引用: 1]
[5]
HU Yina , AN Ru , AI Zetian , et al . Research on fine identification of grass species in the Three Rivers Sources based on UAV hyperspetctral images
[J]. Remote Sensing Technology and Application , 2021 , 36 (4 ): 926 -935 .
[本文引用: 1]
胡宜娜 ,安如 ,艾泽天 ,等 .基于无人机高光谱影像的三江源草种精细识别研究
[J].遥感技术与应用 ,2021 ,36 (4 ):926 -935 .
[本文引用: 1]
[6]
PI W Q , DU J M , BI Y G , et al . 3D-CNN based UAV hyperspetctral imagery for grassland degradation indicator ground objet al. classification research
[J]. Ecological Informatics , 2021 , 62 :101278 .DOI:10.1016/j.ecoinf.2021.101278
[本文引用: 1]
[7]
LYU X , Li X B , DANG D L , et al . Unmanned Aerial Vehicle (UAV) remote sensing in grassland ecosystem monitoring: A systematic review
[J]. Remote Sensing , 2022 , 14 (5 ): 1096 .DOI:10.3390/rs14051096
[本文引用: 1]
[8]
YANG H Y , DU J M .Classification of desert steppe species based on unmanned aerial vehicle hyperspetctral remote sensing and continuum removal vegetation indices
[J].Optik ,Volume 247,2021 ,167877,ISSN0030-4026 .DOI:10.1016/j.ijleo. 2021. 167877
[本文引用: 1]
[9]
ZHANG X L , ZHANG F , QI Y X , et al . New research methods for vegetation information extraction based on visible light remote sensing images from an Unmanned Aerial Vehicle (UAV)
[J].International Journal of Applied Earth Observation and Geoinformation ,2019 ,78 :215 -226 .DOI:10.1016/j.jag.2019.01.001 .
[本文引用: 1]
[10]
YANG Hongyan . Species classification of desert steppe based on UAV hyperspectral remote sensing
[D]. Hohhot :Inner Mongolia Agricultural University ,2019 .
[本文引用: 2]
杨红艳 . 基于无人机高光谱遥感的荒漠草原物种分类研究
[D].呼和浩特 :内蒙古农业大学 ,2019 .
[本文引用: 2]
[11]
YANG Hongyan , DU Jianmin , Ruan Peiying , et al . Classification method of desert grassland vegetation based on drone remote sensing and random forest
[J].Transactions of the Chinese Society of Agricultural Machinery ,2021 ,52 (6 ):186 -194 .
[本文引用: 3]
杨红艳 ,杜健民 ,阮培英 ,等 .基于无人机遥感与随机森林的荒漠草原植被分类方法
[J].农业机械学报 ,2021 ,52 (6 ):186 -194 .
[本文引用: 3]
[12]
ISHIDAA T , KURIHARAA J , VIRAYB F A , et al . A novel approach for vegetation classification using UAV-based hyperspectral imaging
[J]. Computers and Electronics in Agriculture ,2018 ,144 :80 -85 .DOI:10.1016/j.compag.2017.11.027
[13]
WANG Yuan , BI Yuge . A simplified learning classification model for desert steppe based on UAV hyperspectrum
[J/OL]. Journal of agricultural machinery : 1 -9 [2022-11-03 ]. .
URL
王圆 ,毕玉革 .基于无人机高光谱的荒漠草原精简学习分类模型
[J/OL].农业机械学报 :1 -9 [2022-11-03 ]..
URL
[14]
NA Mula , LI Yuan , WANG Wuyun , et al . Identification of typical species in desert steppe based on UAV multispectral image
[J]. China Agricultural Information ,2022 ,34 (2 ):37 -48 .
[本文引用: 1]
那木拉 ,李渊 ,王乌云 ,等 .基于无人机多光谱影像的荒漠草原典型物种识别
[J].中国农业信息 ,2022 ,34 (2 ):37 -48 .
[本文引用: 1]
[15]
ZHANG Fuhua , HUANG Mingxiang , ZHANG Jing , et al . Research on the identification of grassland species by hyperspectra:A case study of Xilin Gol grassland
[J].Bulletin of Surveying and Mapping ,2014 (7 ):66 -69 .
[本文引用: 2]
张富华 ,黄明祥 ,张晶 ,等 .利用高光谱识别草地种类的研究——以锡林郭勒草原为例
[J].测绘通报 ,2014 (7 ):66 -69 .
[本文引用: 2]
[16]
ZHANG Guanhong , WANG Xinjun , XU Xiaolong , et al . Desert vegetation classification based on object-oriented UAV remote sensing imagery
[J].China Agricultural Science and Technology Review ,2021 ,23 (5 ):69 -77 .
[本文引用: 1]
张冠宏 ,王新军 ,徐晓龙 ,等 .基于面向对象的无人机遥感影像荒漠植被分类
[J].中国农业科技导报 ,2021 ,23 (5 ):69 -77 .
[本文引用: 1]
[17]
LIU Bin , SHI Yun , WU Wenbin ,et al .Crop classification based on UAV remote sensing visible light image
[J].China Agricultural Resources and Regional Planning ,2019 ,40 (8 ):55 -63 .
[本文引用: 1]
刘斌 ,史云 ,吴文斌 ,等 .基于无人机遥感可见光影像的农作物分类
[J].中国农业资源与区划 ,2019 ,40 (8 ):55 -63 .
[本文引用: 1]
[18]
DING Yong , NIU Jianming , LIU Pengtao , et al . Spatial-temporal dynamic analysis of the distribution pattern of herders: A case study of Huanghuashu special of Baiyin Xile Ranch in Inner Mongolia
[J].Journal of Grassland ,2014 ,22 (6 ):1205 -1211 .
[本文引用: 1]
丁勇 ,牛建明 ,刘朋涛 ,等 .牧户分布格局的时空动态分析——以内蒙古白音锡勒牧场黄花树特为例
[J].草地学报 ,2014 ,22 (6 ):1205 -1211 .
[本文引用: 1]
[19]
FENG Shuangshuang , TIAN Bing , HU Yincui , et al . Characteristics of indicator species of grassland degradation on dams
[J].Resources and Environment in Arid Areas ,2016 ,30 (3 ):133 -139 .
[本文引用: 2]
冯双双 ,田冰 ,胡引翠 ,等 .坝上草原退化指示种光谱特征研究
[J].干旱区资源与环境 ,2016 ,30 (3 ):133 -139 .
[本文引用: 2]
[20]
DENG Xiaoling , ZENG Guoliang , ZHU Zihao , et al . Classification and characteristic band extraction of citrus diseased plants based on UAV hyperspet al.ral remote sensing
[J].Journal of South China Agricultural University ,2020 ,41 (6 ):100 -108 .
[本文引用: 1]
邓小玲 ,曾国亮 ,朱梓豪 ,等 .基于无人机高光谱遥感的柑橘患病植株分类与特征波段提取
[J].华南农业大学学报 ,2020 ,41 (6 ):100 -108 .
[本文引用: 1]
[21]
CHEN Shuren , ZOU Huadong , WU Ruimei , et al . Identification of weeds and rice at seedling stage of paddy field based on hyperspetctral image technology
[J].Transactions of the Chinese Society for Agricultural Machinery ,2013 ,44 (5 ):253 -257 ,163 .
[本文引用: 1]
陈树人 ,邹华东 ,吴瑞梅 ,等 .基于高光谱图像技术的稻田苗期杂草稻识别
[J].农业机械学报 ,2013 ,44 (5 ):253 -257 ,163 .
[本文引用: 1]
[22]
TONG Qingxi , ZHANG Bing , ZHENG Lanfen , et al . The principle, technology and application of hyperspetctral remote sensing
[M]. Beijing : Higher Education Press , 2006 .童庆禧 ,张兵,郑兰芬,等 .高光谱遥感原理、技术与应用[M].北京 :高等教育出版社 ,2006.
[本文引用: 1]
[23]
Belgiu M , Drăguţ L .Random forest in remote sensing: A review of applications and future diretctions
[J]. ISPRS Journal of Photogrammetry and Remote Sensing , 2016 ,114 :24 -31 .DOI:10. 1016/j.isprsjprs.2016.01.011
[本文引用: 1]
[24]
GAO Xia , SHEN Xin , DAI Jinsong , et al . Urban forest tree species classification combined with LiDAR single tree segmentation and hyperspetctral feature extraction
[J]. Remote Sensing Technology and Application ,2018 ,33 (6 ):1073 -1083 .
[本文引用: 1]
皋厦 ,申鑫 ,代劲松 ,等 .结合LiDAR单木分割和高光谱特征提取的城市森林树种分类
[J].遥感技术与应用 ,2018 ,33 (6 ):1073 -1083 .
[本文引用: 1]
[25]
LI Fuxiang , WANG Xue , ZHANG Chi , et al . Support vector machine classification algorithm based on boundary points
[J].Journal of Shaanxi University of Technology(Natural Science Edition) ,2022 ,38 (3 ):30 -38 .
[本文引用: 1]
李福祥 ,王雪 ,张驰 ,等 .基于边界点的支持向量机分类算法
[J].陕西理工大学学报(自然科学版) ,2022 ,38 (3 ):30 -38 .
[本文引用: 1]
[26]
LAN Yubin , ZHU Zihao , DENG Xiaoling , et al . Monitoring and classification of citrus Huanglongbing plants based on UAV hyperspetctral remote sensing
[J].Chinese Journal of Agricultural Engineering ,2019 ,35 (3 ):92 -100 .
[本文引用: 1]
兰玉彬 ,朱梓豪 ,邓小玲 ,等 .基于无人机高光谱遥感的柑橘黄龙病植株的监测与分类
[J].农业工程学报 ,2019 ,35 (3 ):92 -100 .
[本文引用: 1]
[27]
SU Daxue , ZHANG Zihe , CHEN Zuozhong ,et al . , Classification index of natural grassland degradation, desertion and salinization [S].
[本文引用: 1]
苏大学 ,张自和 ,陈佐忠 ,等 . , 天然草地退化、沙化、盐渍化的分级指标 [S].
[本文引用: 1]
[28]
WANG Zhenhua , XU Lizhi , JI Qing , et al . An accuracy evaluation method for remote sensing classfication results using spatial heterogeneity
[J].Remote Sensing Information ,2020 ,35 (6 ):25 -31 .
[本文引用: 1]
王振华 ,徐利智 ,纪晴 ,等 .利用空间异质性的遥感分类结果精度评价方法
[J].遥感信息 ,2020 ,35 (6 ):25 -31 .
[本文引用: 1]
[29]
WEI Ningning , LIN Yiran , ZHOU Yihu . Study on characteristics and driving forces of urban land expansion in Nanjing city
[J].Jiangsu Agricultural Sciences ,2021 ,49 (16 ):204 -209 .
[本文引用: 1]
魏宁宁 ,林奕冉 ,周翼虎 .南京市城镇用地扩张特征与驱动力分析
[J].江苏农业科学 ,2021 ,49 (16 ):204 -209 .
[本文引用: 1]
[30]
ABD-ELRAHMAN A , BRITT K , LIU T . Deep Learning Classification of high-resolution drone images using the ArcGIS Pro Software FOR374/FR444,10/2021
[J].EDIS ,2021 , 2021 (5 ). DOI:10.33474/edis-FR444-2021
[本文引用: 1]
[31]
FENG Q L , LIU J T , GONG J H . UAV remote sensing for urban vegetation mapping using random forest and texture analysis
[J]. Remote sensing , 2015 , 7 (1 ): 1074 -1094 .DOI:10.3390/rs70101074
[本文引用: 1]
[32]
ZHAO Y F , ZHU W W , WEI P P , et al . Classification of Zambian grasslands using random forest feature importance seletction during the optimal phenological period
[J].Ecological Indicators ,2022 ,135 :108529 .DOI:10.1016/j.ecolind.2021. 108529
[本文引用: 1]
[33]
ZHANG Nina , ZHANG Ke , LI Yunping , et al . Research on UAV multispetalral remote sensing machine learning classification of vegetation types in typical humid mountainous areas in Southern China
[J]. Remote Sensing Technology and Application ,2023 ,38 (1 ):163 -172 .
[本文引用: 1]
张妮娜 ,张珂 ,李运平 ,等 .中国南方典型湿润山区植被类型的无人机多光谱遥感机器学习分类研究
[J].遥感技术与应用 ,2023 ,38 (1 ):163 -172 .
[本文引用: 1]
[34]
HAO Fangfang , CHEN Yanmei , GAO Jixi , et al . Hyperspectral characteristic band identification of grassland degradation indicator species in Bashang area, Hebei Province
[J].Journal of Ecology and Rural Environment ,2016 ,32 (6 ):1024 -1029 .
[本文引用: 1]
郝芳芳 ,陈艳梅 ,高吉喜 ,等 .河北坝上地区草地退化指示种的高光谱特征波段识别
[J].生态与农村环境学报 ,2016 ,32 (6 ):1024 -1029 .
[本文引用: 1]
[35]
MA Jian , LIU Wenhao , Jin Guili , et al . UAV multispectral remote sensing grassland plant identification based on CNN and SVM
[J].Journal of Grassland ,2022 ,30 (11 ):3165 -3174 .
[本文引用: 1]
马建 ,刘文昊 ,靳瑰丽 ,等 .基于CNN和SVM的无人机多光谱遥感草地植物识别
[J].草地学报 ,2022 ,30 (11 ):3165 -3174 .
[本文引用: 1]
内蒙古草原生态保护与建设的研究
1
2019
... 草原是我国面积最大的陆地生态系统,内蒙古草原是我国北方草原的主体,也是北方重要的生态安全屏障[1 ] .根据国家环保局统计,草原退化日益加剧,90%以上的草原处于不同程度退化之中,其中内蒙古退化草原面积已占全区草原面积的31.77%[2 ] .近年来,由于气候变化、高强度放牧、鼠害等多种因素的影响下,植被覆盖度和植被种类减少,草原退化情况日益加剧,退化指示种变优势物种,种类和数量呈增长趋势[3 -4 ] .因此,准确、快速地监测退化指示种研究对草原生态保护具有重要意义. ...
内蒙古草原生态保护与建设的研究
1
2019
... 草原是我国面积最大的陆地生态系统,内蒙古草原是我国北方草原的主体,也是北方重要的生态安全屏障[1 ] .根据国家环保局统计,草原退化日益加剧,90%以上的草原处于不同程度退化之中,其中内蒙古退化草原面积已占全区草原面积的31.77%[2 ] .近年来,由于气候变化、高强度放牧、鼠害等多种因素的影响下,植被覆盖度和植被种类减少,草原退化情况日益加剧,退化指示种变优势物种,种类和数量呈增长趋势[3 -4 ] .因此,准确、快速地监测退化指示种研究对草原生态保护具有重要意义. ...
基于高光谱遥感的荒漠化草原草种类分类模型研究
2
2020
... 草原是我国面积最大的陆地生态系统,内蒙古草原是我国北方草原的主体,也是北方重要的生态安全屏障[1 ] .根据国家环保局统计,草原退化日益加剧,90%以上的草原处于不同程度退化之中,其中内蒙古退化草原面积已占全区草原面积的31.77%[2 ] .近年来,由于气候变化、高强度放牧、鼠害等多种因素的影响下,植被覆盖度和植被种类减少,草原退化情况日益加剧,退化指示种变优势物种,种类和数量呈增长趋势[3 -4 ] .因此,准确、快速地监测退化指示种研究对草原生态保护具有重要意义. ...
... 本文对典型草原地物的光谱分析发现,裸土光谱曲线呈现吸收谷,这是由于研究区的裸土并不是完全没有植被的,故裸土光谱波段具有吸收谷.退化指示物种和其他绿色植被在可见光波段均表现为“低-高-低”的光谱反射率趋势,具有典型的植被光谱特征.这与杨红艳等[3 ,10 ] 和张锡鹏等[2 ] 对荒漠草原植被光谱反射率趋势一致. ...
基于高光谱遥感的荒漠化草原草种类分类模型研究
2
2020
... 草原是我国面积最大的陆地生态系统,内蒙古草原是我国北方草原的主体,也是北方重要的生态安全屏障[1 ] .根据国家环保局统计,草原退化日益加剧,90%以上的草原处于不同程度退化之中,其中内蒙古退化草原面积已占全区草原面积的31.77%[2 ] .近年来,由于气候变化、高强度放牧、鼠害等多种因素的影响下,植被覆盖度和植被种类减少,草原退化情况日益加剧,退化指示种变优势物种,种类和数量呈增长趋势[3 -4 ] .因此,准确、快速地监测退化指示种研究对草原生态保护具有重要意义. ...
... 本文对典型草原地物的光谱分析发现,裸土光谱曲线呈现吸收谷,这是由于研究区的裸土并不是完全没有植被的,故裸土光谱波段具有吸收谷.退化指示物种和其他绿色植被在可见光波段均表现为“低-高-低”的光谱反射率趋势,具有典型的植被光谱特征.这与杨红艳等[3 ,10 ] 和张锡鹏等[2 ] 对荒漠草原植被光谱反射率趋势一致. ...
基于无人机遥感与卷积神经网络的草原物种分类方法
2
2019
... 草原是我国面积最大的陆地生态系统,内蒙古草原是我国北方草原的主体,也是北方重要的生态安全屏障[1 ] .根据国家环保局统计,草原退化日益加剧,90%以上的草原处于不同程度退化之中,其中内蒙古退化草原面积已占全区草原面积的31.77%[2 ] .近年来,由于气候变化、高强度放牧、鼠害等多种因素的影响下,植被覆盖度和植被种类减少,草原退化情况日益加剧,退化指示种变优势物种,种类和数量呈增长趋势[3 -4 ] .因此,准确、快速地监测退化指示种研究对草原生态保护具有重要意义. ...
... 本文对典型草原地物的光谱分析发现,裸土光谱曲线呈现吸收谷,这是由于研究区的裸土并不是完全没有植被的,故裸土光谱波段具有吸收谷.退化指示物种和其他绿色植被在可见光波段均表现为“低-高-低”的光谱反射率趋势,具有典型的植被光谱特征.这与杨红艳等[3 ,10 ] 和张锡鹏等[2 ] 对荒漠草原植被光谱反射率趋势一致. ...
基于无人机遥感与卷积神经网络的草原物种分类方法
2
2019
... 草原是我国面积最大的陆地生态系统,内蒙古草原是我国北方草原的主体,也是北方重要的生态安全屏障[1 ] .根据国家环保局统计,草原退化日益加剧,90%以上的草原处于不同程度退化之中,其中内蒙古退化草原面积已占全区草原面积的31.77%[2 ] .近年来,由于气候变化、高强度放牧、鼠害等多种因素的影响下,植被覆盖度和植被种类减少,草原退化情况日益加剧,退化指示种变优势物种,种类和数量呈增长趋势[3 -4 ] .因此,准确、快速地监测退化指示种研究对草原生态保护具有重要意义. ...
... 本文对典型草原地物的光谱分析发现,裸土光谱曲线呈现吸收谷,这是由于研究区的裸土并不是完全没有植被的,故裸土光谱波段具有吸收谷.退化指示物种和其他绿色植被在可见光波段均表现为“低-高-低”的光谱反射率趋势,具有典型的植被光谱特征.这与杨红艳等[3 ,10 ] 和张锡鹏等[2 ] 对荒漠草原植被光谱反射率趋势一致. ...
退化典型草原狼毒种群结构与数量动态
1
2020
... 草原是我国面积最大的陆地生态系统,内蒙古草原是我国北方草原的主体,也是北方重要的生态安全屏障[1 ] .根据国家环保局统计,草原退化日益加剧,90%以上的草原处于不同程度退化之中,其中内蒙古退化草原面积已占全区草原面积的31.77%[2 ] .近年来,由于气候变化、高强度放牧、鼠害等多种因素的影响下,植被覆盖度和植被种类减少,草原退化情况日益加剧,退化指示种变优势物种,种类和数量呈增长趋势[3 -4 ] .因此,准确、快速地监测退化指示种研究对草原生态保护具有重要意义. ...
退化典型草原狼毒种群结构与数量动态
1
2020
... 草原是我国面积最大的陆地生态系统,内蒙古草原是我国北方草原的主体,也是北方重要的生态安全屏障[1 ] .根据国家环保局统计,草原退化日益加剧,90%以上的草原处于不同程度退化之中,其中内蒙古退化草原面积已占全区草原面积的31.77%[2 ] .近年来,由于气候变化、高强度放牧、鼠害等多种因素的影响下,植被覆盖度和植被种类减少,草原退化情况日益加剧,退化指示种变优势物种,种类和数量呈增长趋势[3 -4 ] .因此,准确、快速地监测退化指示种研究对草原生态保护具有重要意义. ...
基于无人机高光谱影像的三江源草种精细识别研究
1
2021
... 目前,草原退化方面研究主要利用单期或者多期的遥感影像,获取NDVI、NPP等参数的变化及植被覆盖度的分布情况,进行退化等级划分,分析草地退化的现状或动态变化特征,研究草原退化情况[5 ] .其中,遥感技术在草原生物量评估、植被覆盖度、大面积的环境和灾害监测、土地覆盖的分类等方面被广泛应用.但卫星遥感数据受空间分辨率和光谱分辨率的限制,仅能实现植被群落或植被类型级别的监测,但在微小尺度的植物、作物的精细分类等方面存在不足[6 ] .而无人机高光谱遥感具有较高的空间分辨率和光谱分辨率,能够灵活快速获取图像、成本低、操作灵活等特征,弥补了卫星遥感在草原种群精细识别与分类方面的缺陷[7 -8 ] .因此,无人机遥感已被广泛应用于高精度农业监测、资源调查、环境变化监测、草原退化监测等多个领域[9 ] . ...
基于无人机高光谱影像的三江源草种精细识别研究
1
2021
... 目前,草原退化方面研究主要利用单期或者多期的遥感影像,获取NDVI、NPP等参数的变化及植被覆盖度的分布情况,进行退化等级划分,分析草地退化的现状或动态变化特征,研究草原退化情况[5 ] .其中,遥感技术在草原生物量评估、植被覆盖度、大面积的环境和灾害监测、土地覆盖的分类等方面被广泛应用.但卫星遥感数据受空间分辨率和光谱分辨率的限制,仅能实现植被群落或植被类型级别的监测,但在微小尺度的植物、作物的精细分类等方面存在不足[6 ] .而无人机高光谱遥感具有较高的空间分辨率和光谱分辨率,能够灵活快速获取图像、成本低、操作灵活等特征,弥补了卫星遥感在草原种群精细识别与分类方面的缺陷[7 -8 ] .因此,无人机遥感已被广泛应用于高精度农业监测、资源调查、环境变化监测、草原退化监测等多个领域[9 ] . ...
3D-CNN based UAV hyperspetctral imagery for grassland degradation indicator ground objet al. classification research
1
2021
... 目前,草原退化方面研究主要利用单期或者多期的遥感影像,获取NDVI、NPP等参数的变化及植被覆盖度的分布情况,进行退化等级划分,分析草地退化的现状或动态变化特征,研究草原退化情况[5 ] .其中,遥感技术在草原生物量评估、植被覆盖度、大面积的环境和灾害监测、土地覆盖的分类等方面被广泛应用.但卫星遥感数据受空间分辨率和光谱分辨率的限制,仅能实现植被群落或植被类型级别的监测,但在微小尺度的植物、作物的精细分类等方面存在不足[6 ] .而无人机高光谱遥感具有较高的空间分辨率和光谱分辨率,能够灵活快速获取图像、成本低、操作灵活等特征,弥补了卫星遥感在草原种群精细识别与分类方面的缺陷[7 -8 ] .因此,无人机遥感已被广泛应用于高精度农业监测、资源调查、环境变化监测、草原退化监测等多个领域[9 ] . ...
Unmanned Aerial Vehicle (UAV) remote sensing in grassland ecosystem monitoring: A systematic review
1
2022
... 目前,草原退化方面研究主要利用单期或者多期的遥感影像,获取NDVI、NPP等参数的变化及植被覆盖度的分布情况,进行退化等级划分,分析草地退化的现状或动态变化特征,研究草原退化情况[5 ] .其中,遥感技术在草原生物量评估、植被覆盖度、大面积的环境和灾害监测、土地覆盖的分类等方面被广泛应用.但卫星遥感数据受空间分辨率和光谱分辨率的限制,仅能实现植被群落或植被类型级别的监测,但在微小尺度的植物、作物的精细分类等方面存在不足[6 ] .而无人机高光谱遥感具有较高的空间分辨率和光谱分辨率,能够灵活快速获取图像、成本低、操作灵活等特征,弥补了卫星遥感在草原种群精细识别与分类方面的缺陷[7 -8 ] .因此,无人机遥感已被广泛应用于高精度农业监测、资源调查、环境变化监测、草原退化监测等多个领域[9 ] . ...
Classification of desert steppe species based on unmanned aerial vehicle hyperspetctral remote sensing and continuum removal vegetation indices
1
2021
... 目前,草原退化方面研究主要利用单期或者多期的遥感影像,获取NDVI、NPP等参数的变化及植被覆盖度的分布情况,进行退化等级划分,分析草地退化的现状或动态变化特征,研究草原退化情况[5 ] .其中,遥感技术在草原生物量评估、植被覆盖度、大面积的环境和灾害监测、土地覆盖的分类等方面被广泛应用.但卫星遥感数据受空间分辨率和光谱分辨率的限制,仅能实现植被群落或植被类型级别的监测,但在微小尺度的植物、作物的精细分类等方面存在不足[6 ] .而无人机高光谱遥感具有较高的空间分辨率和光谱分辨率,能够灵活快速获取图像、成本低、操作灵活等特征,弥补了卫星遥感在草原种群精细识别与分类方面的缺陷[7 -8 ] .因此,无人机遥感已被广泛应用于高精度农业监测、资源调查、环境变化监测、草原退化监测等多个领域[9 ] . ...
New research methods for vegetation information extraction based on visible light remote sensing images from an Unmanned Aerial Vehicle (UAV)
1
2019
... 目前,草原退化方面研究主要利用单期或者多期的遥感影像,获取NDVI、NPP等参数的变化及植被覆盖度的分布情况,进行退化等级划分,分析草地退化的现状或动态变化特征,研究草原退化情况[5 ] .其中,遥感技术在草原生物量评估、植被覆盖度、大面积的环境和灾害监测、土地覆盖的分类等方面被广泛应用.但卫星遥感数据受空间分辨率和光谱分辨率的限制,仅能实现植被群落或植被类型级别的监测,但在微小尺度的植物、作物的精细分类等方面存在不足[6 ] .而无人机高光谱遥感具有较高的空间分辨率和光谱分辨率,能够灵活快速获取图像、成本低、操作灵活等特征,弥补了卫星遥感在草原种群精细识别与分类方面的缺陷[7 -8 ] .因此,无人机遥感已被广泛应用于高精度农业监测、资源调查、环境变化监测、草原退化监测等多个领域[9 ] . ...
基于无人机高光谱遥感的荒漠草原物种分类研究
2
2019
... 在草原监测方面,无人机遥感主要应用在草原生物量估算、覆盖度反演和草原退化物种识别等方面[10 ] .在草原退化研究中,主要采用无人机搭载普通相机、多光谱、高光谱等传感器获取正射影像或倾斜影像,结合机器学习方法开展了一系列研究[11 -15 ] .其中,杨红艳等[11 ] 利用高光谱影像,及随机森林(RF)、支持向量机(SVM)、K-最近邻(KNN)和最大似然分类(MLC)等模型对荒漠草原植被类型分类研究,结果表明,RF模型总体分类精度达到91.06%.那木拉等[14 ] 也利用无人机多光谱影像和SVM模型分析了荒漠草原短花针茅,精度达到90.08%.张富华等[15 ] 也利用锡林郭勒草原高光谱影像,运用神经网络分类了4种典型草种,精度达到了80.3%.张冠宏等[16 ] 以无人机影像和数字表面模型为数据源,采用RF算法对古尔班通古特沙漠的荒漠植被进行了分类,获得了较高的分类精度.刘斌等[17 ] 利用无人机遥感可见光影像和SVM模型对农作物进行精细分类,精度达到92.30%. ...
... 本文对典型草原地物的光谱分析发现,裸土光谱曲线呈现吸收谷,这是由于研究区的裸土并不是完全没有植被的,故裸土光谱波段具有吸收谷.退化指示物种和其他绿色植被在可见光波段均表现为“低-高-低”的光谱反射率趋势,具有典型的植被光谱特征.这与杨红艳等[3 ,10 ] 和张锡鹏等[2 ] 对荒漠草原植被光谱反射率趋势一致. ...
基于无人机高光谱遥感的荒漠草原物种分类研究
2
2019
... 在草原监测方面,无人机遥感主要应用在草原生物量估算、覆盖度反演和草原退化物种识别等方面[10 ] .在草原退化研究中,主要采用无人机搭载普通相机、多光谱、高光谱等传感器获取正射影像或倾斜影像,结合机器学习方法开展了一系列研究[11 -15 ] .其中,杨红艳等[11 ] 利用高光谱影像,及随机森林(RF)、支持向量机(SVM)、K-最近邻(KNN)和最大似然分类(MLC)等模型对荒漠草原植被类型分类研究,结果表明,RF模型总体分类精度达到91.06%.那木拉等[14 ] 也利用无人机多光谱影像和SVM模型分析了荒漠草原短花针茅,精度达到90.08%.张富华等[15 ] 也利用锡林郭勒草原高光谱影像,运用神经网络分类了4种典型草种,精度达到了80.3%.张冠宏等[16 ] 以无人机影像和数字表面模型为数据源,采用RF算法对古尔班通古特沙漠的荒漠植被进行了分类,获得了较高的分类精度.刘斌等[17 ] 利用无人机遥感可见光影像和SVM模型对农作物进行精细分类,精度达到92.30%. ...
... 本文对典型草原地物的光谱分析发现,裸土光谱曲线呈现吸收谷,这是由于研究区的裸土并不是完全没有植被的,故裸土光谱波段具有吸收谷.退化指示物种和其他绿色植被在可见光波段均表现为“低-高-低”的光谱反射率趋势,具有典型的植被光谱特征.这与杨红艳等[3 ,10 ] 和张锡鹏等[2 ] 对荒漠草原植被光谱反射率趋势一致. ...
基于无人机遥感与随机森林的荒漠草原植被分类方法
3
2021
... 在草原监测方面,无人机遥感主要应用在草原生物量估算、覆盖度反演和草原退化物种识别等方面[10 ] .在草原退化研究中,主要采用无人机搭载普通相机、多光谱、高光谱等传感器获取正射影像或倾斜影像,结合机器学习方法开展了一系列研究[11 -15 ] .其中,杨红艳等[11 ] 利用高光谱影像,及随机森林(RF)、支持向量机(SVM)、K-最近邻(KNN)和最大似然分类(MLC)等模型对荒漠草原植被类型分类研究,结果表明,RF模型总体分类精度达到91.06%.那木拉等[14 ] 也利用无人机多光谱影像和SVM模型分析了荒漠草原短花针茅,精度达到90.08%.张富华等[15 ] 也利用锡林郭勒草原高光谱影像,运用神经网络分类了4种典型草种,精度达到了80.3%.张冠宏等[16 ] 以无人机影像和数字表面模型为数据源,采用RF算法对古尔班通古特沙漠的荒漠植被进行了分类,获得了较高的分类精度.刘斌等[17 ] 利用无人机遥感可见光影像和SVM模型对农作物进行精细分类,精度达到92.30%. ...
... [11 ]利用高光谱影像,及随机森林(RF)、支持向量机(SVM)、K-最近邻(KNN)和最大似然分类(MLC)等模型对荒漠草原植被类型分类研究,结果表明,RF模型总体分类精度达到91.06%.那木拉等[14 ] 也利用无人机多光谱影像和SVM模型分析了荒漠草原短花针茅,精度达到90.08%.张富华等[15 ] 也利用锡林郭勒草原高光谱影像,运用神经网络分类了4种典型草种,精度达到了80.3%.张冠宏等[16 ] 以无人机影像和数字表面模型为数据源,采用RF算法对古尔班通古特沙漠的荒漠植被进行了分类,获得了较高的分类精度.刘斌等[17 ] 利用无人机遥感可见光影像和SVM模型对农作物进行精细分类,精度达到92.30%. ...
... 本文主要对比分析了传统的支持向量机和随机森林分类方法对典型草原退化指示物种识别的有效性.结果表明随机森林的分类结果表现优于支持向量机模型,这与杨红艳的实验结果一致.杨红艳等[11 ] 研究发现随机森林模型在30 m的飞行高度可以较好地识别植被种类,随着飞行高度的增加,地物的空间分辨率和反射率降低,使识别较小的植被会有所难度.但本研究由于在50 m的飞行高度,利用随机森林方法对典型草原植物进行分类并获了较高的识别精度,证明了50 m的飞行高度,在识别植被方面研究中具有一定的可行性.研究结果精度相对较高的原因之一,是因为数据采集的时间是在8月份,这正是草原植物的生长旺盛期,光谱特征更加的明显,更有利于对草原物种的信息提取. ...
基于无人机遥感与随机森林的荒漠草原植被分类方法
3
2021
... 在草原监测方面,无人机遥感主要应用在草原生物量估算、覆盖度反演和草原退化物种识别等方面[10 ] .在草原退化研究中,主要采用无人机搭载普通相机、多光谱、高光谱等传感器获取正射影像或倾斜影像,结合机器学习方法开展了一系列研究[11 -15 ] .其中,杨红艳等[11 ] 利用高光谱影像,及随机森林(RF)、支持向量机(SVM)、K-最近邻(KNN)和最大似然分类(MLC)等模型对荒漠草原植被类型分类研究,结果表明,RF模型总体分类精度达到91.06%.那木拉等[14 ] 也利用无人机多光谱影像和SVM模型分析了荒漠草原短花针茅,精度达到90.08%.张富华等[15 ] 也利用锡林郭勒草原高光谱影像,运用神经网络分类了4种典型草种,精度达到了80.3%.张冠宏等[16 ] 以无人机影像和数字表面模型为数据源,采用RF算法对古尔班通古特沙漠的荒漠植被进行了分类,获得了较高的分类精度.刘斌等[17 ] 利用无人机遥感可见光影像和SVM模型对农作物进行精细分类,精度达到92.30%. ...
... [11 ]利用高光谱影像,及随机森林(RF)、支持向量机(SVM)、K-最近邻(KNN)和最大似然分类(MLC)等模型对荒漠草原植被类型分类研究,结果表明,RF模型总体分类精度达到91.06%.那木拉等[14 ] 也利用无人机多光谱影像和SVM模型分析了荒漠草原短花针茅,精度达到90.08%.张富华等[15 ] 也利用锡林郭勒草原高光谱影像,运用神经网络分类了4种典型草种,精度达到了80.3%.张冠宏等[16 ] 以无人机影像和数字表面模型为数据源,采用RF算法对古尔班通古特沙漠的荒漠植被进行了分类,获得了较高的分类精度.刘斌等[17 ] 利用无人机遥感可见光影像和SVM模型对农作物进行精细分类,精度达到92.30%. ...
... 本文主要对比分析了传统的支持向量机和随机森林分类方法对典型草原退化指示物种识别的有效性.结果表明随机森林的分类结果表现优于支持向量机模型,这与杨红艳的实验结果一致.杨红艳等[11 ] 研究发现随机森林模型在30 m的飞行高度可以较好地识别植被种类,随着飞行高度的增加,地物的空间分辨率和反射率降低,使识别较小的植被会有所难度.但本研究由于在50 m的飞行高度,利用随机森林方法对典型草原植物进行分类并获了较高的识别精度,证明了50 m的飞行高度,在识别植被方面研究中具有一定的可行性.研究结果精度相对较高的原因之一,是因为数据采集的时间是在8月份,这正是草原植物的生长旺盛期,光谱特征更加的明显,更有利于对草原物种的信息提取. ...
A novel approach for vegetation classification using UAV-based hyperspectral imaging
0
2018
基于无人机多光谱影像的荒漠草原典型物种识别
1
2022
... 在草原监测方面,无人机遥感主要应用在草原生物量估算、覆盖度反演和草原退化物种识别等方面[10 ] .在草原退化研究中,主要采用无人机搭载普通相机、多光谱、高光谱等传感器获取正射影像或倾斜影像,结合机器学习方法开展了一系列研究[11 -15 ] .其中,杨红艳等[11 ] 利用高光谱影像,及随机森林(RF)、支持向量机(SVM)、K-最近邻(KNN)和最大似然分类(MLC)等模型对荒漠草原植被类型分类研究,结果表明,RF模型总体分类精度达到91.06%.那木拉等[14 ] 也利用无人机多光谱影像和SVM模型分析了荒漠草原短花针茅,精度达到90.08%.张富华等[15 ] 也利用锡林郭勒草原高光谱影像,运用神经网络分类了4种典型草种,精度达到了80.3%.张冠宏等[16 ] 以无人机影像和数字表面模型为数据源,采用RF算法对古尔班通古特沙漠的荒漠植被进行了分类,获得了较高的分类精度.刘斌等[17 ] 利用无人机遥感可见光影像和SVM模型对农作物进行精细分类,精度达到92.30%. ...
基于无人机多光谱影像的荒漠草原典型物种识别
1
2022
... 在草原监测方面,无人机遥感主要应用在草原生物量估算、覆盖度反演和草原退化物种识别等方面[10 ] .在草原退化研究中,主要采用无人机搭载普通相机、多光谱、高光谱等传感器获取正射影像或倾斜影像,结合机器学习方法开展了一系列研究[11 -15 ] .其中,杨红艳等[11 ] 利用高光谱影像,及随机森林(RF)、支持向量机(SVM)、K-最近邻(KNN)和最大似然分类(MLC)等模型对荒漠草原植被类型分类研究,结果表明,RF模型总体分类精度达到91.06%.那木拉等[14 ] 也利用无人机多光谱影像和SVM模型分析了荒漠草原短花针茅,精度达到90.08%.张富华等[15 ] 也利用锡林郭勒草原高光谱影像,运用神经网络分类了4种典型草种,精度达到了80.3%.张冠宏等[16 ] 以无人机影像和数字表面模型为数据源,采用RF算法对古尔班通古特沙漠的荒漠植被进行了分类,获得了较高的分类精度.刘斌等[17 ] 利用无人机遥感可见光影像和SVM模型对农作物进行精细分类,精度达到92.30%. ...
利用高光谱识别草地种类的研究——以锡林郭勒草原为例
2
2014
... 在草原监测方面,无人机遥感主要应用在草原生物量估算、覆盖度反演和草原退化物种识别等方面[10 ] .在草原退化研究中,主要采用无人机搭载普通相机、多光谱、高光谱等传感器获取正射影像或倾斜影像,结合机器学习方法开展了一系列研究[11 -15 ] .其中,杨红艳等[11 ] 利用高光谱影像,及随机森林(RF)、支持向量机(SVM)、K-最近邻(KNN)和最大似然分类(MLC)等模型对荒漠草原植被类型分类研究,结果表明,RF模型总体分类精度达到91.06%.那木拉等[14 ] 也利用无人机多光谱影像和SVM模型分析了荒漠草原短花针茅,精度达到90.08%.张富华等[15 ] 也利用锡林郭勒草原高光谱影像,运用神经网络分类了4种典型草种,精度达到了80.3%.张冠宏等[16 ] 以无人机影像和数字表面模型为数据源,采用RF算法对古尔班通古特沙漠的荒漠植被进行了分类,获得了较高的分类精度.刘斌等[17 ] 利用无人机遥感可见光影像和SVM模型对农作物进行精细分类,精度达到92.30%. ...
... [15 ]也利用锡林郭勒草原高光谱影像,运用神经网络分类了4种典型草种,精度达到了80.3%.张冠宏等[16 ] 以无人机影像和数字表面模型为数据源,采用RF算法对古尔班通古特沙漠的荒漠植被进行了分类,获得了较高的分类精度.刘斌等[17 ] 利用无人机遥感可见光影像和SVM模型对农作物进行精细分类,精度达到92.30%. ...
利用高光谱识别草地种类的研究——以锡林郭勒草原为例
2
2014
... 在草原监测方面,无人机遥感主要应用在草原生物量估算、覆盖度反演和草原退化物种识别等方面[10 ] .在草原退化研究中,主要采用无人机搭载普通相机、多光谱、高光谱等传感器获取正射影像或倾斜影像,结合机器学习方法开展了一系列研究[11 -15 ] .其中,杨红艳等[11 ] 利用高光谱影像,及随机森林(RF)、支持向量机(SVM)、K-最近邻(KNN)和最大似然分类(MLC)等模型对荒漠草原植被类型分类研究,结果表明,RF模型总体分类精度达到91.06%.那木拉等[14 ] 也利用无人机多光谱影像和SVM模型分析了荒漠草原短花针茅,精度达到90.08%.张富华等[15 ] 也利用锡林郭勒草原高光谱影像,运用神经网络分类了4种典型草种,精度达到了80.3%.张冠宏等[16 ] 以无人机影像和数字表面模型为数据源,采用RF算法对古尔班通古特沙漠的荒漠植被进行了分类,获得了较高的分类精度.刘斌等[17 ] 利用无人机遥感可见光影像和SVM模型对农作物进行精细分类,精度达到92.30%. ...
... [15 ]也利用锡林郭勒草原高光谱影像,运用神经网络分类了4种典型草种,精度达到了80.3%.张冠宏等[16 ] 以无人机影像和数字表面模型为数据源,采用RF算法对古尔班通古特沙漠的荒漠植被进行了分类,获得了较高的分类精度.刘斌等[17 ] 利用无人机遥感可见光影像和SVM模型对农作物进行精细分类,精度达到92.30%. ...
基于面向对象的无人机遥感影像荒漠植被分类
1
2021
... 在草原监测方面,无人机遥感主要应用在草原生物量估算、覆盖度反演和草原退化物种识别等方面[10 ] .在草原退化研究中,主要采用无人机搭载普通相机、多光谱、高光谱等传感器获取正射影像或倾斜影像,结合机器学习方法开展了一系列研究[11 -15 ] .其中,杨红艳等[11 ] 利用高光谱影像,及随机森林(RF)、支持向量机(SVM)、K-最近邻(KNN)和最大似然分类(MLC)等模型对荒漠草原植被类型分类研究,结果表明,RF模型总体分类精度达到91.06%.那木拉等[14 ] 也利用无人机多光谱影像和SVM模型分析了荒漠草原短花针茅,精度达到90.08%.张富华等[15 ] 也利用锡林郭勒草原高光谱影像,运用神经网络分类了4种典型草种,精度达到了80.3%.张冠宏等[16 ] 以无人机影像和数字表面模型为数据源,采用RF算法对古尔班通古特沙漠的荒漠植被进行了分类,获得了较高的分类精度.刘斌等[17 ] 利用无人机遥感可见光影像和SVM模型对农作物进行精细分类,精度达到92.30%. ...
基于面向对象的无人机遥感影像荒漠植被分类
1
2021
... 在草原监测方面,无人机遥感主要应用在草原生物量估算、覆盖度反演和草原退化物种识别等方面[10 ] .在草原退化研究中,主要采用无人机搭载普通相机、多光谱、高光谱等传感器获取正射影像或倾斜影像,结合机器学习方法开展了一系列研究[11 -15 ] .其中,杨红艳等[11 ] 利用高光谱影像,及随机森林(RF)、支持向量机(SVM)、K-最近邻(KNN)和最大似然分类(MLC)等模型对荒漠草原植被类型分类研究,结果表明,RF模型总体分类精度达到91.06%.那木拉等[14 ] 也利用无人机多光谱影像和SVM模型分析了荒漠草原短花针茅,精度达到90.08%.张富华等[15 ] 也利用锡林郭勒草原高光谱影像,运用神经网络分类了4种典型草种,精度达到了80.3%.张冠宏等[16 ] 以无人机影像和数字表面模型为数据源,采用RF算法对古尔班通古特沙漠的荒漠植被进行了分类,获得了较高的分类精度.刘斌等[17 ] 利用无人机遥感可见光影像和SVM模型对农作物进行精细分类,精度达到92.30%. ...
基于无人机遥感可见光影像的农作物分类
1
2019
... 在草原监测方面,无人机遥感主要应用在草原生物量估算、覆盖度反演和草原退化物种识别等方面[10 ] .在草原退化研究中,主要采用无人机搭载普通相机、多光谱、高光谱等传感器获取正射影像或倾斜影像,结合机器学习方法开展了一系列研究[11 -15 ] .其中,杨红艳等[11 ] 利用高光谱影像,及随机森林(RF)、支持向量机(SVM)、K-最近邻(KNN)和最大似然分类(MLC)等模型对荒漠草原植被类型分类研究,结果表明,RF模型总体分类精度达到91.06%.那木拉等[14 ] 也利用无人机多光谱影像和SVM模型分析了荒漠草原短花针茅,精度达到90.08%.张富华等[15 ] 也利用锡林郭勒草原高光谱影像,运用神经网络分类了4种典型草种,精度达到了80.3%.张冠宏等[16 ] 以无人机影像和数字表面模型为数据源,采用RF算法对古尔班通古特沙漠的荒漠植被进行了分类,获得了较高的分类精度.刘斌等[17 ] 利用无人机遥感可见光影像和SVM模型对农作物进行精细分类,精度达到92.30%. ...
基于无人机遥感可见光影像的农作物分类
1
2019
... 在草原监测方面,无人机遥感主要应用在草原生物量估算、覆盖度反演和草原退化物种识别等方面[10 ] .在草原退化研究中,主要采用无人机搭载普通相机、多光谱、高光谱等传感器获取正射影像或倾斜影像,结合机器学习方法开展了一系列研究[11 -15 ] .其中,杨红艳等[11 ] 利用高光谱影像,及随机森林(RF)、支持向量机(SVM)、K-最近邻(KNN)和最大似然分类(MLC)等模型对荒漠草原植被类型分类研究,结果表明,RF模型总体分类精度达到91.06%.那木拉等[14 ] 也利用无人机多光谱影像和SVM模型分析了荒漠草原短花针茅,精度达到90.08%.张富华等[15 ] 也利用锡林郭勒草原高光谱影像,运用神经网络分类了4种典型草种,精度达到了80.3%.张冠宏等[16 ] 以无人机影像和数字表面模型为数据源,采用RF算法对古尔班通古特沙漠的荒漠植被进行了分类,获得了较高的分类精度.刘斌等[17 ] 利用无人机遥感可见光影像和SVM模型对农作物进行精细分类,精度达到92.30%. ...
牧户分布格局的时空动态分析——以内蒙古白音锡勒牧场黄花树特为例
1
2014
... 实验区位于锡林浩特市郊南52 km处,内蒙古锡林郭勒盟典型草原中的白音锡勒牧场,地理位置坐标116°21′7″~116°21′16″ E,43°42′49″~43°42′42″ N,平均海拔高度为1 266 m,面积为200×200 m2 (如图1 所示).该地区属于中温带大陆性气候,年平均降水在350~450 mm之间.该地区的植被一类是大针茅(Stipa grandis)、克氏针茅(S.krylovii)和蒿类(Artemisia commutate,A.frigida)为主,另一类是羊草(Leymus chinensis)、小禾草(Koeleria cristata)为主的群落[18 ] .实验所选取的实验区处于高放牧状态下,致使该地区为典型草原退化较为严重的地区.在过度放牧、践踏下,耐践踏的植被成为优势群落,冷蒿(Artemisia frigida)成为实验区内的退化指示种[19 ] . ...
牧户分布格局的时空动态分析——以内蒙古白音锡勒牧场黄花树特为例
1
2014
... 实验区位于锡林浩特市郊南52 km处,内蒙古锡林郭勒盟典型草原中的白音锡勒牧场,地理位置坐标116°21′7″~116°21′16″ E,43°42′49″~43°42′42″ N,平均海拔高度为1 266 m,面积为200×200 m2 (如图1 所示).该地区属于中温带大陆性气候,年平均降水在350~450 mm之间.该地区的植被一类是大针茅(Stipa grandis)、克氏针茅(S.krylovii)和蒿类(Artemisia commutate,A.frigida)为主,另一类是羊草(Leymus chinensis)、小禾草(Koeleria cristata)为主的群落[18 ] .实验所选取的实验区处于高放牧状态下,致使该地区为典型草原退化较为严重的地区.在过度放牧、践踏下,耐践踏的植被成为优势群落,冷蒿(Artemisia frigida)成为实验区内的退化指示种[19 ] . ...
坝上草原退化指示种光谱特征研究
2
2016
... 实验区位于锡林浩特市郊南52 km处,内蒙古锡林郭勒盟典型草原中的白音锡勒牧场,地理位置坐标116°21′7″~116°21′16″ E,43°42′49″~43°42′42″ N,平均海拔高度为1 266 m,面积为200×200 m2 (如图1 所示).该地区属于中温带大陆性气候,年平均降水在350~450 mm之间.该地区的植被一类是大针茅(Stipa grandis)、克氏针茅(S.krylovii)和蒿类(Artemisia commutate,A.frigida)为主,另一类是羊草(Leymus chinensis)、小禾草(Koeleria cristata)为主的群落[18 ] .实验所选取的实验区处于高放牧状态下,致使该地区为典型草原退化较为严重的地区.在过度放牧、践踏下,耐践踏的植被成为优势群落,冷蒿(Artemisia frigida)成为实验区内的退化指示种[19 ] . ...
... 由于高光谱数据波段数较多,会造成不必要的运算.因此,本研究使用包络线去除和一阶微分变换等运算,对各地物间光谱特性的差异分析,选取差异波段进行了波段组合.冯双双等[19 ] 利用相同的方法对坝上草原主要优势种和退化指示种的光谱曲线进行了处理并提取了多种特征参数,找到了退化指示种识别的有效方法.而郝芳芳等[34 ] 对3种退化指示种和2种优势物种光谱反射曲线进行对数变换处理,采用均值置信区间对原始光谱和变换处理后的对数光谱进行波段选择,提取了退化指示种的光谱特性,并利用Manhattan距离对所选择的波段进行识别检验.各学者所筛选的特征波段各有不同.因此,对不同的识别对象需要进行专一性的特征筛选[35 ] . ...
坝上草原退化指示种光谱特征研究
2
2016
... 实验区位于锡林浩特市郊南52 km处,内蒙古锡林郭勒盟典型草原中的白音锡勒牧场,地理位置坐标116°21′7″~116°21′16″ E,43°42′49″~43°42′42″ N,平均海拔高度为1 266 m,面积为200×200 m2 (如图1 所示).该地区属于中温带大陆性气候,年平均降水在350~450 mm之间.该地区的植被一类是大针茅(Stipa grandis)、克氏针茅(S.krylovii)和蒿类(Artemisia commutate,A.frigida)为主,另一类是羊草(Leymus chinensis)、小禾草(Koeleria cristata)为主的群落[18 ] .实验所选取的实验区处于高放牧状态下,致使该地区为典型草原退化较为严重的地区.在过度放牧、践踏下,耐践踏的植被成为优势群落,冷蒿(Artemisia frigida)成为实验区内的退化指示种[19 ] . ...
... 由于高光谱数据波段数较多,会造成不必要的运算.因此,本研究使用包络线去除和一阶微分变换等运算,对各地物间光谱特性的差异分析,选取差异波段进行了波段组合.冯双双等[19 ] 利用相同的方法对坝上草原主要优势种和退化指示种的光谱曲线进行了处理并提取了多种特征参数,找到了退化指示种识别的有效方法.而郝芳芳等[34 ] 对3种退化指示种和2种优势物种光谱反射曲线进行对数变换处理,采用均值置信区间对原始光谱和变换处理后的对数光谱进行波段选择,提取了退化指示种的光谱特性,并利用Manhattan距离对所选择的波段进行识别检验.各学者所筛选的特征波段各有不同.因此,对不同的识别对象需要进行专一性的特征筛选[35 ] . ...
基于无人机高光谱遥感的柑橘患病植株分类与特征波段提取
1
2020
... 飞行后获取的数据进行预处理.预处理前,首先,需要删除与实验区无关的照片,减少后期的不必要的数据处理[20 ] .本次影像的辐射校正采用S185 高光谱成像仪自带的Cube-pilot应用程序.使用Photoscan图像拼接软件完成整个区域的图像拼接,然后,在Agisoft PhotoScan Professional软件中生成DEM和DOM文件,最后导出实验区的完整图像.由于在图像的生成和传输中,因仪器自身的因素和受到不同噪声的影响,高光谱数据携带大量噪声,导致信息产生失真,图像质量下降并影响结果.因此,获取的高光谱数据需要在ENVI5.3中运用Savitzky-Golay算法对高光谱影像进行平滑降噪处理.经过滤波后,图像会更清晰,光谱曲线会更平滑,并能保留原始光谱信息[21 ] .图4 是平滑降噪前与平滑降噪后的反射率曲线的对比图. ...
基于无人机高光谱遥感的柑橘患病植株分类与特征波段提取
1
2020
... 飞行后获取的数据进行预处理.预处理前,首先,需要删除与实验区无关的照片,减少后期的不必要的数据处理[20 ] .本次影像的辐射校正采用S185 高光谱成像仪自带的Cube-pilot应用程序.使用Photoscan图像拼接软件完成整个区域的图像拼接,然后,在Agisoft PhotoScan Professional软件中生成DEM和DOM文件,最后导出实验区的完整图像.由于在图像的生成和传输中,因仪器自身的因素和受到不同噪声的影响,高光谱数据携带大量噪声,导致信息产生失真,图像质量下降并影响结果.因此,获取的高光谱数据需要在ENVI5.3中运用Savitzky-Golay算法对高光谱影像进行平滑降噪处理.经过滤波后,图像会更清晰,光谱曲线会更平滑,并能保留原始光谱信息[21 ] .图4 是平滑降噪前与平滑降噪后的反射率曲线的对比图. ...
基于高光谱图像技术的稻田苗期杂草稻识别
1
2013
... 飞行后获取的数据进行预处理.预处理前,首先,需要删除与实验区无关的照片,减少后期的不必要的数据处理[20 ] .本次影像的辐射校正采用S185 高光谱成像仪自带的Cube-pilot应用程序.使用Photoscan图像拼接软件完成整个区域的图像拼接,然后,在Agisoft PhotoScan Professional软件中生成DEM和DOM文件,最后导出实验区的完整图像.由于在图像的生成和传输中,因仪器自身的因素和受到不同噪声的影响,高光谱数据携带大量噪声,导致信息产生失真,图像质量下降并影响结果.因此,获取的高光谱数据需要在ENVI5.3中运用Savitzky-Golay算法对高光谱影像进行平滑降噪处理.经过滤波后,图像会更清晰,光谱曲线会更平滑,并能保留原始光谱信息[21 ] .图4 是平滑降噪前与平滑降噪后的反射率曲线的对比图. ...
基于高光谱图像技术的稻田苗期杂草稻识别
1
2013
... 飞行后获取的数据进行预处理.预处理前,首先,需要删除与实验区无关的照片,减少后期的不必要的数据处理[20 ] .本次影像的辐射校正采用S185 高光谱成像仪自带的Cube-pilot应用程序.使用Photoscan图像拼接软件完成整个区域的图像拼接,然后,在Agisoft PhotoScan Professional软件中生成DEM和DOM文件,最后导出实验区的完整图像.由于在图像的生成和传输中,因仪器自身的因素和受到不同噪声的影响,高光谱数据携带大量噪声,导致信息产生失真,图像质量下降并影响结果.因此,获取的高光谱数据需要在ENVI5.3中运用Savitzky-Golay算法对高光谱影像进行平滑降噪处理.经过滤波后,图像会更清晰,光谱曲线会更平滑,并能保留原始光谱信息[21 ] .图4 是平滑降噪前与平滑降噪后的反射率曲线的对比图. ...
The principle, technology and application of hyperspetctral remote sensing
1
2006
... 对初始光谱数据进行微分变换、包络线去除等处理后,将光谱曲线斜率的细微变化进一步放大化,波形变得更清晰,有利于与其他光谱曲线进行特征数值的比较[22 ] ,增强真实反映目标物信息的光谱特征,实现光谱特征差异分析. ...
Random forest in remote sensing: A review of applications and future diretctions
1
2016
... 随机森林(Random Forest, RF)是一种集成分类器,它使用随机选择的训练样本子集和变量产生多个决策树[23 ] .通过集成学习的思想,将多棵决策树进行集成的算法.它的基本单元是决策树,每棵决策树都是一个分类器,N棵树会有N个分类结果.按决策树分类器的投票决定最终随机森林的分类结果.实验共采集了1 500个样本,构建模型时从中随机选择了2/3来创建森林中的每棵决策树,其他参数是基于分类算法评价指标,选择精度最高所对应的参数.为此,将决策树的数量设置为1 000,最大树数设置为50,最大树深为30[24 ] .支持向量机(Support Vector Machines, SVM)分类器是一种监督分类方法,是建立在统计学习理论基础之上的新一代机器学习算法[25 ] .另外,构造出一个具有良好性能的SVM,核函数的选择是关键,会影响到SVM的分类效果,常用的核函数有线性核(linear)、多项式核(polynomial)、Sigmoid核和径向基核(radial basis function)等4种函数.多项式核函数可通过主观设置幂数来实现总结的预判,使得原本线性不可分的数据线性可分,将解决非线性数据集的分类问题[26 ] .研究使用的数据是高维数据并且样本少,核函数的引入避免了“维数灾难”,大大减小了计算量,也可以有效的处理高维输入.创建模型时,采用了同一组训练样本构建了分类模型. ...
结合LiDAR单木分割和高光谱特征提取的城市森林树种分类
1
2018
... 随机森林(Random Forest, RF)是一种集成分类器,它使用随机选择的训练样本子集和变量产生多个决策树[23 ] .通过集成学习的思想,将多棵决策树进行集成的算法.它的基本单元是决策树,每棵决策树都是一个分类器,N棵树会有N个分类结果.按决策树分类器的投票决定最终随机森林的分类结果.实验共采集了1 500个样本,构建模型时从中随机选择了2/3来创建森林中的每棵决策树,其他参数是基于分类算法评价指标,选择精度最高所对应的参数.为此,将决策树的数量设置为1 000,最大树数设置为50,最大树深为30[24 ] .支持向量机(Support Vector Machines, SVM)分类器是一种监督分类方法,是建立在统计学习理论基础之上的新一代机器学习算法[25 ] .另外,构造出一个具有良好性能的SVM,核函数的选择是关键,会影响到SVM的分类效果,常用的核函数有线性核(linear)、多项式核(polynomial)、Sigmoid核和径向基核(radial basis function)等4种函数.多项式核函数可通过主观设置幂数来实现总结的预判,使得原本线性不可分的数据线性可分,将解决非线性数据集的分类问题[26 ] .研究使用的数据是高维数据并且样本少,核函数的引入避免了“维数灾难”,大大减小了计算量,也可以有效的处理高维输入.创建模型时,采用了同一组训练样本构建了分类模型. ...
结合LiDAR单木分割和高光谱特征提取的城市森林树种分类
1
2018
... 随机森林(Random Forest, RF)是一种集成分类器,它使用随机选择的训练样本子集和变量产生多个决策树[23 ] .通过集成学习的思想,将多棵决策树进行集成的算法.它的基本单元是决策树,每棵决策树都是一个分类器,N棵树会有N个分类结果.按决策树分类器的投票决定最终随机森林的分类结果.实验共采集了1 500个样本,构建模型时从中随机选择了2/3来创建森林中的每棵决策树,其他参数是基于分类算法评价指标,选择精度最高所对应的参数.为此,将决策树的数量设置为1 000,最大树数设置为50,最大树深为30[24 ] .支持向量机(Support Vector Machines, SVM)分类器是一种监督分类方法,是建立在统计学习理论基础之上的新一代机器学习算法[25 ] .另外,构造出一个具有良好性能的SVM,核函数的选择是关键,会影响到SVM的分类效果,常用的核函数有线性核(linear)、多项式核(polynomial)、Sigmoid核和径向基核(radial basis function)等4种函数.多项式核函数可通过主观设置幂数来实现总结的预判,使得原本线性不可分的数据线性可分,将解决非线性数据集的分类问题[26 ] .研究使用的数据是高维数据并且样本少,核函数的引入避免了“维数灾难”,大大减小了计算量,也可以有效的处理高维输入.创建模型时,采用了同一组训练样本构建了分类模型. ...
基于边界点的支持向量机分类算法
1
2022
... 随机森林(Random Forest, RF)是一种集成分类器,它使用随机选择的训练样本子集和变量产生多个决策树[23 ] .通过集成学习的思想,将多棵决策树进行集成的算法.它的基本单元是决策树,每棵决策树都是一个分类器,N棵树会有N个分类结果.按决策树分类器的投票决定最终随机森林的分类结果.实验共采集了1 500个样本,构建模型时从中随机选择了2/3来创建森林中的每棵决策树,其他参数是基于分类算法评价指标,选择精度最高所对应的参数.为此,将决策树的数量设置为1 000,最大树数设置为50,最大树深为30[24 ] .支持向量机(Support Vector Machines, SVM)分类器是一种监督分类方法,是建立在统计学习理论基础之上的新一代机器学习算法[25 ] .另外,构造出一个具有良好性能的SVM,核函数的选择是关键,会影响到SVM的分类效果,常用的核函数有线性核(linear)、多项式核(polynomial)、Sigmoid核和径向基核(radial basis function)等4种函数.多项式核函数可通过主观设置幂数来实现总结的预判,使得原本线性不可分的数据线性可分,将解决非线性数据集的分类问题[26 ] .研究使用的数据是高维数据并且样本少,核函数的引入避免了“维数灾难”,大大减小了计算量,也可以有效的处理高维输入.创建模型时,采用了同一组训练样本构建了分类模型. ...
基于边界点的支持向量机分类算法
1
2022
... 随机森林(Random Forest, RF)是一种集成分类器,它使用随机选择的训练样本子集和变量产生多个决策树[23 ] .通过集成学习的思想,将多棵决策树进行集成的算法.它的基本单元是决策树,每棵决策树都是一个分类器,N棵树会有N个分类结果.按决策树分类器的投票决定最终随机森林的分类结果.实验共采集了1 500个样本,构建模型时从中随机选择了2/3来创建森林中的每棵决策树,其他参数是基于分类算法评价指标,选择精度最高所对应的参数.为此,将决策树的数量设置为1 000,最大树数设置为50,最大树深为30[24 ] .支持向量机(Support Vector Machines, SVM)分类器是一种监督分类方法,是建立在统计学习理论基础之上的新一代机器学习算法[25 ] .另外,构造出一个具有良好性能的SVM,核函数的选择是关键,会影响到SVM的分类效果,常用的核函数有线性核(linear)、多项式核(polynomial)、Sigmoid核和径向基核(radial basis function)等4种函数.多项式核函数可通过主观设置幂数来实现总结的预判,使得原本线性不可分的数据线性可分,将解决非线性数据集的分类问题[26 ] .研究使用的数据是高维数据并且样本少,核函数的引入避免了“维数灾难”,大大减小了计算量,也可以有效的处理高维输入.创建模型时,采用了同一组训练样本构建了分类模型. ...
基于无人机高光谱遥感的柑橘黄龙病植株的监测与分类
1
2019
... 随机森林(Random Forest, RF)是一种集成分类器,它使用随机选择的训练样本子集和变量产生多个决策树[23 ] .通过集成学习的思想,将多棵决策树进行集成的算法.它的基本单元是决策树,每棵决策树都是一个分类器,N棵树会有N个分类结果.按决策树分类器的投票决定最终随机森林的分类结果.实验共采集了1 500个样本,构建模型时从中随机选择了2/3来创建森林中的每棵决策树,其他参数是基于分类算法评价指标,选择精度最高所对应的参数.为此,将决策树的数量设置为1 000,最大树数设置为50,最大树深为30[24 ] .支持向量机(Support Vector Machines, SVM)分类器是一种监督分类方法,是建立在统计学习理论基础之上的新一代机器学习算法[25 ] .另外,构造出一个具有良好性能的SVM,核函数的选择是关键,会影响到SVM的分类效果,常用的核函数有线性核(linear)、多项式核(polynomial)、Sigmoid核和径向基核(radial basis function)等4种函数.多项式核函数可通过主观设置幂数来实现总结的预判,使得原本线性不可分的数据线性可分,将解决非线性数据集的分类问题[26 ] .研究使用的数据是高维数据并且样本少,核函数的引入避免了“维数灾难”,大大减小了计算量,也可以有效的处理高维输入.创建模型时,采用了同一组训练样本构建了分类模型. ...
基于无人机高光谱遥感的柑橘黄龙病植株的监测与分类
1
2019
... 随机森林(Random Forest, RF)是一种集成分类器,它使用随机选择的训练样本子集和变量产生多个决策树[23 ] .通过集成学习的思想,将多棵决策树进行集成的算法.它的基本单元是决策树,每棵决策树都是一个分类器,N棵树会有N个分类结果.按决策树分类器的投票决定最终随机森林的分类结果.实验共采集了1 500个样本,构建模型时从中随机选择了2/3来创建森林中的每棵决策树,其他参数是基于分类算法评价指标,选择精度最高所对应的参数.为此,将决策树的数量设置为1 000,最大树数设置为50,最大树深为30[24 ] .支持向量机(Support Vector Machines, SVM)分类器是一种监督分类方法,是建立在统计学习理论基础之上的新一代机器学习算法[25 ] .另外,构造出一个具有良好性能的SVM,核函数的选择是关键,会影响到SVM的分类效果,常用的核函数有线性核(linear)、多项式核(polynomial)、Sigmoid核和径向基核(radial basis function)等4种函数.多项式核函数可通过主观设置幂数来实现总结的预判,使得原本线性不可分的数据线性可分,将解决非线性数据集的分类问题[26 ] .研究使用的数据是高维数据并且样本少,核函数的引入避免了“维数灾难”,大大减小了计算量,也可以有效的处理高维输入.创建模型时,采用了同一组训练样本构建了分类模型. ...
1
... 根据国标《天然草地退化、沙化、盐渍化的分级指标》[27 ] 中的退化程度分级指标(如表1 )对此实验区的现状进行退化程度的评价. ...
1
... 根据国标《天然草地退化、沙化、盐渍化的分级指标》[27 ] 中的退化程度分级指标(如表1 )对此实验区的现状进行退化程度的评价. ...
利用空间异质性的遥感分类结果精度评价方法
1
2020
... 选取景观格局指数法中的景观聚集度指数AI[28 ] 和分离度指数SPLIT[29 ] 对退化指示物种和其他覆盖类型的聚集程度和离散程度进行评价,聚集度指数AI计算公式如式(1) 和式(2) 所示. ...
利用空间异质性的遥感分类结果精度评价方法
1
2020
... 选取景观格局指数法中的景观聚集度指数AI[28 ] 和分离度指数SPLIT[29 ] 对退化指示物种和其他覆盖类型的聚集程度和离散程度进行评价,聚集度指数AI计算公式如式(1) 和式(2) 所示. ...
南京市城镇用地扩张特征与驱动力分析
1
2021
... 选取景观格局指数法中的景观聚集度指数AI[28 ] 和分离度指数SPLIT[29 ] 对退化指示物种和其他覆盖类型的聚集程度和离散程度进行评价,聚集度指数AI计算公式如式(1) 和式(2) 所示. ...
南京市城镇用地扩张特征与驱动力分析
1
2021
... 选取景观格局指数法中的景观聚集度指数AI[28 ] 和分离度指数SPLIT[29 ] 对退化指示物种和其他覆盖类型的聚集程度和离散程度进行评价,聚集度指数AI计算公式如式(1) 和式(2) 所示. ...
Deep Learning Classification of high-resolution drone images using the ArcGIS Pro Software FOR374/FR444,10/2021
1
2021
... 为了准确描述2种机器学习模型的分类精度,本实验采用混淆矩阵对独立验证样本的分类准确率进行评估[30 -31 ] .通过混淆矩阵得到分类影像的Kappa系数、生产者的精度、用户的精度和整体精度等评估指标,以量化2种模型的性能对分类准确率的贡献[32 -33 ] .本实验中验证样本一共选取了600个,与训练样本的比例为5∶3,对2种模型的性能进行评估,结果如表2 和表3 所示. ...
UAV remote sensing for urban vegetation mapping using random forest and texture analysis
1
2015
... 为了准确描述2种机器学习模型的分类精度,本实验采用混淆矩阵对独立验证样本的分类准确率进行评估[30 -31 ] .通过混淆矩阵得到分类影像的Kappa系数、生产者的精度、用户的精度和整体精度等评估指标,以量化2种模型的性能对分类准确率的贡献[32 -33 ] .本实验中验证样本一共选取了600个,与训练样本的比例为5∶3,对2种模型的性能进行评估,结果如表2 和表3 所示. ...
Classification of Zambian grasslands using random forest feature importance seletction during the optimal phenological period
1
2022
... 为了准确描述2种机器学习模型的分类精度,本实验采用混淆矩阵对独立验证样本的分类准确率进行评估[30 -31 ] .通过混淆矩阵得到分类影像的Kappa系数、生产者的精度、用户的精度和整体精度等评估指标,以量化2种模型的性能对分类准确率的贡献[32 -33 ] .本实验中验证样本一共选取了600个,与训练样本的比例为5∶3,对2种模型的性能进行评估,结果如表2 和表3 所示. ...
中国南方典型湿润山区植被类型的无人机多光谱遥感机器学习分类研究
1
2023
... 为了准确描述2种机器学习模型的分类精度,本实验采用混淆矩阵对独立验证样本的分类准确率进行评估[30 -31 ] .通过混淆矩阵得到分类影像的Kappa系数、生产者的精度、用户的精度和整体精度等评估指标,以量化2种模型的性能对分类准确率的贡献[32 -33 ] .本实验中验证样本一共选取了600个,与训练样本的比例为5∶3,对2种模型的性能进行评估,结果如表2 和表3 所示. ...
中国南方典型湿润山区植被类型的无人机多光谱遥感机器学习分类研究
1
2023
... 为了准确描述2种机器学习模型的分类精度,本实验采用混淆矩阵对独立验证样本的分类准确率进行评估[30 -31 ] .通过混淆矩阵得到分类影像的Kappa系数、生产者的精度、用户的精度和整体精度等评估指标,以量化2种模型的性能对分类准确率的贡献[32 -33 ] .本实验中验证样本一共选取了600个,与训练样本的比例为5∶3,对2种模型的性能进行评估,结果如表2 和表3 所示. ...
河北坝上地区草地退化指示种的高光谱特征波段识别
1
2016
... 由于高光谱数据波段数较多,会造成不必要的运算.因此,本研究使用包络线去除和一阶微分变换等运算,对各地物间光谱特性的差异分析,选取差异波段进行了波段组合.冯双双等[19 ] 利用相同的方法对坝上草原主要优势种和退化指示种的光谱曲线进行了处理并提取了多种特征参数,找到了退化指示种识别的有效方法.而郝芳芳等[34 ] 对3种退化指示种和2种优势物种光谱反射曲线进行对数变换处理,采用均值置信区间对原始光谱和变换处理后的对数光谱进行波段选择,提取了退化指示种的光谱特性,并利用Manhattan距离对所选择的波段进行识别检验.各学者所筛选的特征波段各有不同.因此,对不同的识别对象需要进行专一性的特征筛选[35 ] . ...
河北坝上地区草地退化指示种的高光谱特征波段识别
1
2016
... 由于高光谱数据波段数较多,会造成不必要的运算.因此,本研究使用包络线去除和一阶微分变换等运算,对各地物间光谱特性的差异分析,选取差异波段进行了波段组合.冯双双等[19 ] 利用相同的方法对坝上草原主要优势种和退化指示种的光谱曲线进行了处理并提取了多种特征参数,找到了退化指示种识别的有效方法.而郝芳芳等[34 ] 对3种退化指示种和2种优势物种光谱反射曲线进行对数变换处理,采用均值置信区间对原始光谱和变换处理后的对数光谱进行波段选择,提取了退化指示种的光谱特性,并利用Manhattan距离对所选择的波段进行识别检验.各学者所筛选的特征波段各有不同.因此,对不同的识别对象需要进行专一性的特征筛选[35 ] . ...
基于CNN和SVM的无人机多光谱遥感草地植物识别
1
2022
... 由于高光谱数据波段数较多,会造成不必要的运算.因此,本研究使用包络线去除和一阶微分变换等运算,对各地物间光谱特性的差异分析,选取差异波段进行了波段组合.冯双双等[19 ] 利用相同的方法对坝上草原主要优势种和退化指示种的光谱曲线进行了处理并提取了多种特征参数,找到了退化指示种识别的有效方法.而郝芳芳等[34 ] 对3种退化指示种和2种优势物种光谱反射曲线进行对数变换处理,采用均值置信区间对原始光谱和变换处理后的对数光谱进行波段选择,提取了退化指示种的光谱特性,并利用Manhattan距离对所选择的波段进行识别检验.各学者所筛选的特征波段各有不同.因此,对不同的识别对象需要进行专一性的特征筛选[35 ] . ...
基于CNN和SVM的无人机多光谱遥感草地植物识别
1
2022
... 由于高光谱数据波段数较多,会造成不必要的运算.因此,本研究使用包络线去除和一阶微分变换等运算,对各地物间光谱特性的差异分析,选取差异波段进行了波段组合.冯双双等[19 ] 利用相同的方法对坝上草原主要优势种和退化指示种的光谱曲线进行了处理并提取了多种特征参数,找到了退化指示种识别的有效方法.而郝芳芳等[34 ] 对3种退化指示种和2种优势物种光谱反射曲线进行对数变换处理,采用均值置信区间对原始光谱和变换处理后的对数光谱进行波段选择,提取了退化指示种的光谱特性,并利用Manhattan距离对所选择的波段进行识别检验.各学者所筛选的特征波段各有不同.因此,对不同的识别对象需要进行专一性的特征筛选[35 ] . ...