基于特征筛选结合PSO-BPNN和GA-BPNN算法的土壤重金属高光谱定量反演 |
| 田雨欣,王正海,谢鹏 |
|
Quantitative Hyperspectral Inversion of Soil Heavy Metals based on Feature Screening Combined with PSO-BPNN and GA-BPNN Algorithms |
| Yuxin TIAN,Zhenghai WANG,Peng XIE |
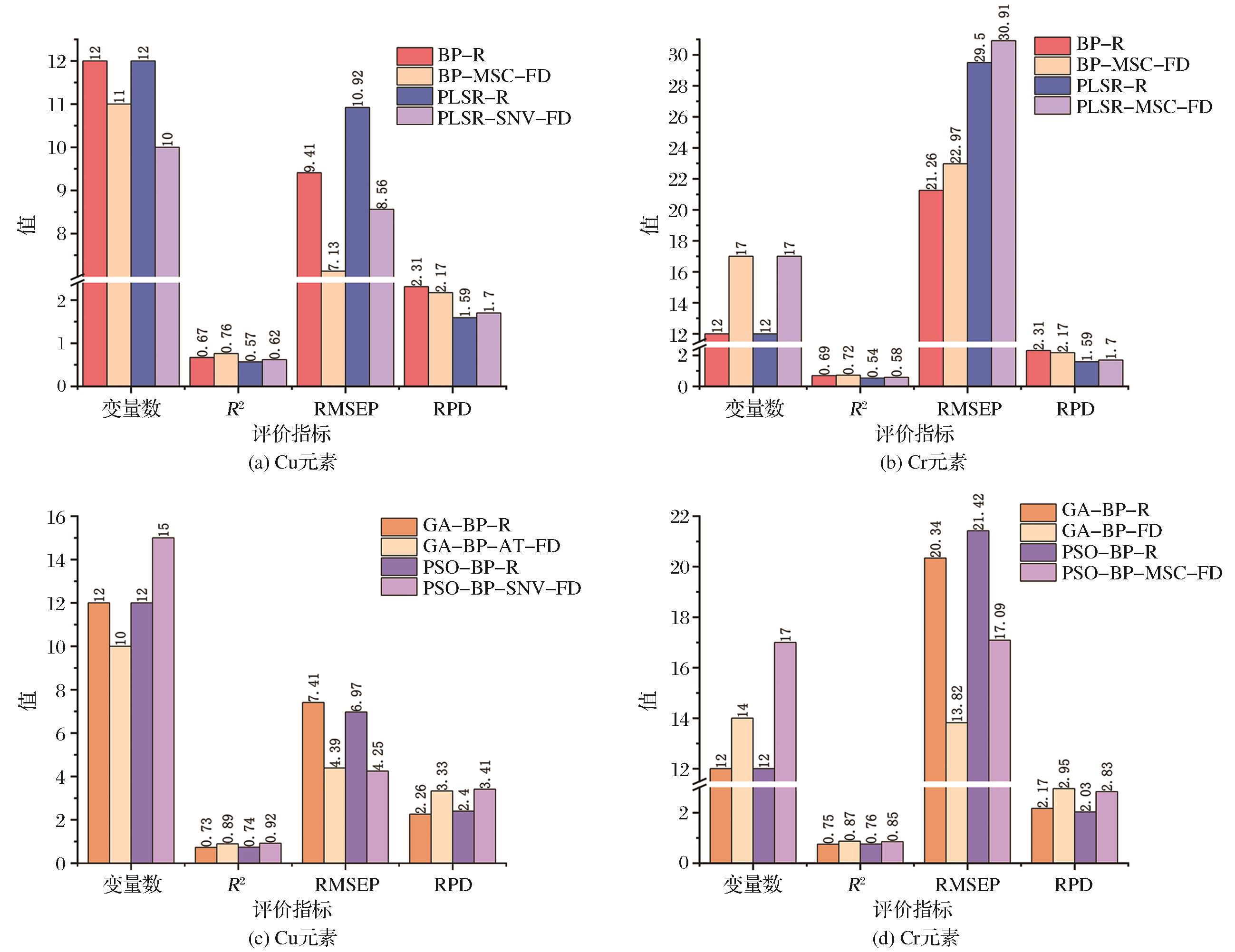
| 图4 Cr、Cu元素模型预测精度对比 |
| Fig.4 Comparison of model prediction accuracy for Cr and Cu elements |
|